Cung thị trường
Cung thị trường được chúng tôi sưu tầm và giới thiệu nhằm giúp các bạn nắm bắt kiến thức môn học một cách tốt hơn để có thể học và hoàn thành bài thi môn học một cách hiệu quả.
Lưu ý: Nếu bạn muốn Tải bài viết này về máy tính hoặc điện thoại, vui lòng kéo xuống cuối bài viết.
Bài: Cung thị trường
1. Khái niệm
Lượng hàng hóa thị trường cung ứng phụ thuộc nhiều nhân tố như giá của chính hàng hóa đó (P), giá các yếu tố đầu vào (Pi), trình độ công nghệ (Tec), quy mô sản xuất của ngành (Ns), thuế (t), lãi suất (r), giá dự kiến trong tương lai của hàng hóa (PF), (điều kiện tự nhiên đối với nông sản - Na).
Có thể thể hiện mối quan hệ trên dưới dạng hàm số:
Qs = f (P, Pi, Tec, t, Ns, PF...)
Khi đưa ra khái niệm về cung của hàng hóa người ta xét mối quan hệ giữa giá cả và lượng hàng hóa được cung ứng, trong điều kiện các nhân tố khác được giả định là không thay đổi:
Cung thị trường mô tả số lượng một hàng hóa hay dịch vụ mà những người sản xuất sẵn sàng bán ở các mức giá khác nhau, trong một thời gian cụ thể, trong điều kiện các yếu tố khác không đổi.
Cung có thể được biểu thị bằng biểu cung, đường cung hay hàm số cung.
Biểu cung:
Mối quan hệ giữa mức giá và lượng cung hàng hóa thể hiện bằng một bảng số, được gọi là biểu cung.
Ví dụ 3: Biểu cung thị trường về đĩa compact mỗi năm được mô tả trong bảng 2.3
Bảng 2.3: Biểu cung thị trường về đĩa compact (mỗi năm)
|
Giá (P) |
Lượng cung (Ql) |
Lượng cung (Qll) |
Lượng cung |
|
50 |
9 |
14 |
39.000 |
|
40 |
7 |
10 |
30.000 |
|
30 |
5 |
8 |
21.000 |
|
20 |
3 |
6 |
12.000 |
|
10 |
0 |
2 |
3.000 |
Đường cung:
Mối quan hệ giữa mức giá và lượng cung hàng hóa thể hiện trên đồ thị với giá cả được biểu thị lên trục tung và các lượng cung thị trường được biểu thị lên trục hoành, ta có đường cung.
Đường cung có thể là đường thẳng hoặc đường cong, nhưng thường có dạng dốc lên vì giữa giá và lượng cung có mối quan hệ đồng biến. Khi giá cả hàng hóa và dịch vụ tăng lên người sản xuất sẽ muốn cung ứng số lượng nhiều hơn và ngược lại, khi giá giảm họ sẽ giảm số lượng hàng được cung ứng.
Đưa các số liệu trong bảng 2.3 lên đồ thị 2.3a, với giá cả được biểu thị lên trục tung và các lượng cung thị trường được biểu thị lên trục hoành, ta có đường cung thị trường của dĩa compact trong một năm (hình 2.3).

Hàm số cung:
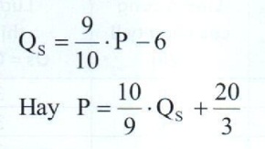
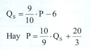
Mối quan hệ giữa mức giá và lượng cung hàng hóa có thể diễn tả dưới dạng hàm số: Qs = f(P)
Hàm cung là hàm đồng biến, hàm cung tuyến tính có dạng:
Qs = c.P + d (2.2) (với c > 0)
Ví dụ 4: Mối quan hệ giữa giá và lượng cung trong bảng 2.3 cũng có thể thể hiện dưới dạng hàm số:

2. Qui luật cung
Với điều kiện các yếu tố khác không đổi, thông thường người sản xuất sẽ cung ứng số lượng hàng hóa nhiều hơn ở các mức giá cao và họ chỉ cung ứng ít đơn vị hoặc không thể cung ứng nếu mức giá thấp. Cung của các hàng hóa và dịch vụ có mối quan hệ cùng chiều với giá cả, mối quan hệ này hình thành nên qui luật cung. Qui luật cung được tóm tắt như sau:

Phân biệt lượng cung và cung
Tương tự như với cầu, cần phân biệt lượng cung và cung. Cung biểu thị các số lượng mà người sản xuất muốn cung ứng và có thể cung ứng ở các mức giá khác nhau. Do đó một sự thay đổi trong giá sẽ gây nên sự thay đổi trong lượng cung, nghĩa là chỉ có sự di chuyển dọc đường cung đối với một hàng hóa. Trong hình 2.3, khi giá giảm từ 40 ngàn đồng xuống 30 ngàn đồng, tạo ra một sự di chuyển dọc từ điểm B đến điểm C, làm giảm lượng cung từ 30.000 xuống 21.000 đơn vị. Lượng cung là một con số cụ thể và chỉ có ý nghĩa trong mối quan hệ với một mức giá cụ thể.
Trái lại, cung không phải là một con số cụ thể, nó chi là một khái niệm dùng để mô tả hành vi của người bán hay người sản xuất. Ngoài giá cả, có nhiều yếu tố tác động đến quyết định cung ứng của người sản xuất, các yếu tố này được giữ không đổi trong khi vẽ đường cung cụ thể. Do đó, khi các yếu tố này thay đổi sẽ làm thay đổi trong cung, làm đường cung dịch chuyển.
3. Các yếu tố làm dịch chuyển đường cung
Một số yếu tố có thể tạo nên sự thay đổi cung hay sự dịch chuyển đường cung là các thay đổi trong:
(1) Giá các yếu tố sản xuất được sử dụng (Pi)
(2) Trình độ công nghệ (Tec)
(3) Các chính sách, qui định của chính phủ
(4) Quy mô sản xuất của ngành (số lượng doanh nghiệp trong ngành - NS )
(5) Giá dự kiến trong tương lai của sản phẩm (PF).
Khi giá các yếu tố sản xuất giảm sẽ làm chi phí sản xuất sản phẩm giảm, sẽ khuyến khích các doanh nghiệp hiện hành mở rộng sản xuất và các doanh nghiệp mới gia nhập thị trường. Do đó, lượng cung đều tăng lên ở tất cả các mức giá. Nói cách khác, cung thị trường tăng, đường cung sản phẩm dịch chuyển sang phải. Giả sử chi phí sản xuất đĩa compact giảm, các doanh nghiệp sẽ cung ứng một lượng dĩa lớn hơn ở mọi mức giá thị trường so với trước. Đường cung mới của thị trường nằm bên phải đường cung cũ. Nói cách khác, đường cung của thị trường dịch chuyển sang phải.
Ngược lại, nếu giá các yếu tố sản xuất tăng làm chi phí sản xuất sản phẩm tăng, cung thị trường sẽ giảm, đường cung dịch chuyển sang trái (hình 2.4 b).
Sự thay đổi công nghệ sản xuất sẽ tác động lên cung, tiến bộ công nghệ trong ngành sản xuất CD đã làm tăng cung các sản phẩm (bảng 2.4), đường cung CD dịch chuyển sang phải như hình 2.4 a.
Bảng 2.4: Biểu cung thị trường mới sau khi áp dụng kỹ thuật sản xuất mới CD
|
Giá (P) |
Lượng cung cũ |
Lượng cung mới |
|
50 |
39.000 |
44.000 |
|
40 |
30.000 |
35.000 |
|
30 |
21.000 |
26.000 |
|
20 |
12.000 |
17.000 |
|
10 |
3.000 |
8.000 |

Sự thay đổi trong chính sách thuế, chính sách trợ cấp, các chính sách về xử lý chất thải hay bảo vệ môi trường đều có thể tác động lên hành vi của người sản xuất. Nếu người sản xuất phải nộp 5.000 đồng trên mỗi đơn vị sản phẩm, họ sẽ muốn bán mức giá cao hơn trước đúng bằng khoản thuế ở tất cả các mức sản lượng được cung ứng, hay nói cách khác họ chỉ muốn và có thể cung ứng một lượng nhỏ hơn ở các mức giá so với trước. Trong trường hợp này đường cung đã dịch chuyển sang trái. Bạn cũng có thể thấy điều xảy ra hoàn toàn ngược lại, đường cung dịch chuyển sang phải, nếu như người sản xuất nhận được khoản trợ cấp từ chính phủ.
Yếu tố tiếp theo là quy mô sản xuất của ngành. Nếu quy mô sản xuất của ngành được mở rộng, thể hiện số hãng sản xuất gia tăng, cung hàng hóa và dịch vụ sẽ tăng. Một ví dụ gần đây là thị trường nước giải khát, nhiều công ty mới gia nhập thị trường. Kết quả là, đường cung dịch chuyển sang phải, các công ty sẵn sàng bán mức giá thấp hơn đối với mọi số lượng.
-----------------------
Chúng tôi đã giới thiệu nội dung bài Cung thị trường về khái niệm, đặc điểm và quy luật của đường cung thị trường và các yếu tố làm dịch chuyển đường cung...
Trên đây, VnDoc đã giới thiệu tới các bạn Cung thị trường. Ngoài ra, các bạn có thể tham khảo thêm nhiều tài liệu Cao đẳng - Đại học cũng như Cao học khác để phục vụ quá trình nghiên cứu hiệu quả hơn.