Cầu thị trường
Chúng tôi xin giới thiệu bài Cầu thị trường được VnDoc sưu tầm và giới thiệu nhằm giúp các bạn nắm bắt kiến thức môn học một cách tốt hơn để có thể học và hoàn thành bài thi môn học một cách hiệu quả.
Lưu ý: Nếu bạn muốn Tải bài viết này về máy tính hoặc điện thoại, vui lòng kéo xuống cuối bài viết.
Bài: Cầu thị trường
1. Khái niệm
Lượng tiêu thụ của một hàng hóa trên thị trường (QD) thường phụ thuộc vào các yếu tố như mức giá của chính nó (P), thu nhập (I), sở thích hay thị hiếu của người tiêu dùng (Tas), giá các hàng hóa có liên quan (PY), qui mô tiêu thụ của thị trường (N), giá dự kiến trong tương lai của hàng hóa (Pp)...
Có thể thể hiện mối quan hệ trên dưới dạng hàm số:
QD = f(P, I, Tas, PY, N, PF…)
Khi đưa ra khái niệm về cầu của hàng hóa, người ta xét chỉ mối quan hệ giữa giá cả và lượng cầu hàng hóa, trong điều kiện các nhân tố khác được giả định là không thay đổi:
Cầu thị trường mô tả số lượng một hàng hóa hay dịch vụ mà những người tiêu dùng sẵn sàng mua ở các mức giá khác nhau trong một thời gian cụ thể, trong điều kiện các yếu tố khác không đổi.
Cầu có thể được biểu thị dưới ba hình thức là biểu cầu, đường cầu và hàm số cầu.
Biểu cầu:
Mối quan hệ giữa mức giá và lượng cầu hàng hoá thể hiện bằng một bảng số, được gọi là biểu cầu.
Ví dụ 1: Biểu cầu thị trường về dĩa compact mỗi năm tại thành phố X được mô tả trong bảng 2.1
Bảng 2.1: Biểu cầu thị trường về dĩa compact (mỗi năm)
|
Giá (P) |
Lượng cầu của A (QA) |
Lượng cầu của B (QB) |
Lượng cầu thị trường =Qa+Qb+... |
|
50 |
0 |
2 |
7.000 |
|
40 |
3 |
6 |
14.000 |
|
30 |
5 |
8 |
21.000 |
|
20 |
7 |
10 |
28.000 |
|
10 |
9 |
14 |
35.000 |
Đường cầu:
Mối quan hệ giữa mức giá và lượng cầu hàng hoá thể hiện trên đồ thị với giá cả được biểu thị lên trục tung và các lượng cầu thị trường được biểu thị lên trục hoành, ta có đường cầu.
Đường cầu có thể là đường thẳng hoặc đường cong, nhưng thường có dạng dốc xuống vì giữa giá và lượng cầu có mối quan hệ nghịch biến. Khi giá cả hàng hóa và dịch vụ tăng lên, người tiêu dùng sẽ mua số lượng ít đi và ngược lại, khi giá giảm họ sẽ mua số lượng lớn hơn.
Đưa các số liệu trong bảng 2.1 lên đồ thị, với giá cả được biểu thị lên trục tung và các lượng cầu thị trường được biểu thị lên trục hoành, ta có đường cầu thị trường của dĩa compact tại thành phố X trong một năm (hình 2.1).
Hàm số cầu:
Mối quan hệ giữa mức giá và lượng cầu hàng hoá có thể diễn tả dưới dạng hàm số:
Q = f(P)

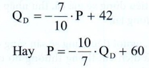
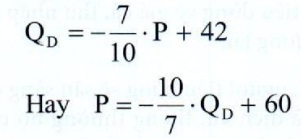
Hàm số cầu là hàm nghịch biến, hàm cầu tuyến tính có dạng:
Q = aP + b (2.1) (với a < 0)
Ví dụ 2: Mối quan hệ giữa giá và lượng cầu trong bảng 2.1 cũng có thể thể hiện dưới dạng hàm số:

2. Qui luật cầu
Với điều kiện các yếu tố khác không đổi, người tiêu thụ thông thường sẽ mua số lượng hàng hóa nhiều hơn khi mức giá giảm xuống và họ chỉ mua ít đơn vị hoặc không mua nếu mức giá tăng lên. Lượng cầu của hầu hết các hàng hóa và dịch vụ có mối quan hệ ngược chiều với giá cả, mối quan hệ này chính là qui luật cầu. Qui luật cầu có thể tóm tắt như sau:

Phân biệt lượng cầu và cầu
Cầu biểu thị các số lượng mà người tiêu dùng muốn mua và có khả năng mua ở các mức giá khác nhau. Do đó một sự thay đổi trong giá sẽ gây nên sự thay đổi trong lượng cầu, nghĩa là chỉ có sự di chuyển dọc đường cầu đối với một hàng hóa. Trong hình 2.1, khi giá giảm từ 40 ngàn đồng xuống 30 ngàn đồng, tạo ra một sự di chuyển dọc từ điểm B đến điểm C, làm tăng lượng cầu từ 14.000 lên 21.000 đơn vị. Lượng cầu là một con số cụ thể và chỉ có ý nghĩa trong mối quan hệ với một mức giá cụ thể.
Trái lại, cầu không phải là một con số cụ thể, nó chỉ là một khái niệm dùng để mô tả hành vi của người tiêu dùng. Ngoài giá cả, có nhiều yếu tố tác động đến quyết định mua của người tiêu dùng, các yếu tố này được giữ không đổi trong khi vẽ đường cầu cụ thể. Do đó, khi có sự thay đổi của các yếu tố khác với giá sẽ làm thay đổi trong cầu, làm đường cầu dịch chuyển.
3. Các yếu tố làm dịch chuyển đường cầu
Một số yếu tố có thể tạo nên sự thay đổi cầu hay sự dịch chuyển đường cầu là các thay đổi trong:
(1) Thu nhập của người tiêu dùng (I)
(2) Sở thích và thị hiếu của người tiêu dùng (Tas )
(3) Giá cả của các hàng hóa liên quan ( Py)
(4) Qui mô tiêu thụ của thị trường (N)
(5) Sự dự đoán của người tiêu dùng về giá cả, thu nhập và chính sách của chính phủ trong tương lai.
Khi thu nhập tăng lên, người tiêu dùng sẽ sẵn sàng chi tiêu nhiều hơn cho việc mua hàng hóa và dịch vụ, thông thường họ có thể mua số lượng hàng hóa và dịch vụ nhiều hơn so với trước ở các mức giá. Nhưng đối với hàng cấp thấp, khi thu nhập tăng thì lượng cầu sản phẩm sẽ giảm ở tất cả các mức giá so với trước.
Giả sử thu nhập của A tăng gấp đôi, A muốn và có thể mua số lượng đĩa compact tăng thêm 2 dĩa nữa ở mọi mức giá (bảng 2.2). Đường cầu mới của A nằm bên phải đường cầu cũ như hình 2.2a. Nói cách khác đường cầu của A dịch chuyển sang phải. Nếu thu nhập của A giảm, cầu của anh ta sẽ giảm, đường cầu dịch chuyển sang trái (hình 2.2 b).
Bảng 2.2
|
Giá (P) |
Lượng cầu của A |
Lượng cầu mới của A |
|
50 |
1 |
3 |
|
40 |
3 |
5 |
|
30 |
5 |
7 |
|
20 |
7 |
9 |
|
10 |
9 |
11 |

Sự thay đổi trong sở thích, thị hiếu người tiêu dùng cũng tác động lên cầu. Giả sử người tiêu dùng thích đọc sách hay đi xem phim; ít thích nghe dĩa compact hơn trước. Đường cầu CD sẽ dịch chuyển sang trái. (Mặt khác cầu về sách hay vé xem phim sẽ dịch chuyển sang phải).
- Yếu tố tiếp theo là giá cả các hàng hóa có liên quan. Trong tiêu dùng các hàng hóa có thể có mối quan hệ là thay thế hoặc bổ sung hay độc lập với nhau.
- Hàng hóa thay thế là các hàng hóa tương tự và có thể thay thế cho nhau - như phở và cơm, hòa nhạc và thể thao, xăng A92 và xăng A95, nước ngọt Pepsi và nước ngọt Coca....
- Hàng hóa bổ sung là các hàng hóa được sử dụng đồng thời - như đầu máy và băng video, xe và xăng, gaz và bếp gaz, điện và máy lạnh.
- Hàng hóa độc lập: là những hàng hóa không có quan hệ gì trong sử dụng - như gạo và xe hơi...
Thông thường sự tăng giá của một mặt hàng làm tăng cầu đối với mặt hàng thay thế nó, làm giảm cầu đối với hàng bổ sung với nó, không ảnh hưởng gì đến cầu đối với hàng hóa độc lập với nó. Bạn nghĩ điều gì sẽ xảy ra đối với cầu về xe AIR BLADE nếu giá xe NOUVO giảm? Nếu giá điện tăng cao thì cầu máy lạnh sẽ thế nào? Giá xe hơi tăng sẽ không có ảnh hưởng gì đến cầu về gạo.
- Qui mô tiêu thụ của thị trường, nếu số lượng người mua trên thị trường tăng, cầu đối với các mặt hàng sẽ tăng. Các nhà buôn sẽ hài lòng khi nhiều chung cư được xây dựng, mang đến cho họ nhiều khách hàng, các đường cầu sẽ dịch chuyển sang phải. Ngược lại, một nhà máy lớn ở địa phương đóng cửa, ít công nhân và gia đình họ còn ở lại trong vùng, sẽ gây phiền muộn cho các nhà buôn vì cầu các hàng hóa giảm, các đường cầu dịch chuyển sang trái.
- Sự dự đoán của người tiêu dùng về các sự kiện tương lai sẽ tác động đến cầu, ví dụ dự đoán giá tăng khuyến khích người tiêu dùng mua nhiều hơn trong hiện tại. Dự đoán có sự thay đổi thu nhập hay chính sách nào đó của chính phủ, có thể gây ra những thay đổi trong cầu đối với một số mặt hàng cụ thể.
-----------------------
Chúng tôi đã giới thiệu nội dung bài Cầu thị trường về khái niệm, đặc điểm của cầu thị trường, các yếu tố làm dịch chuyển đường cầu...
Trên đây, VnDoc đã giới thiệu tới các bạn Cầu thị trường. Ngoài ra, các bạn có thể tham khảo thêm nhiều tài liệu Cao đẳng - Đại học cũng như Cao học khác để phục vụ quá trình nghiên cứu hiệu quả hơn.