Đạo hàm In
Đạo hàm In là gì? Công thức tính đạo hàm In như thế nào? Để giúp bạn đọc có thể giải đáp được những thắc mắc này, VnDoc.com mời bạn đọc cùng tham khảo chi tiết bài viết dưới đây để hiểu rõ hơn về Đạo hàm In nhé.
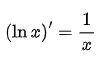
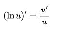
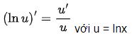
Công thức đạo hàm lnx

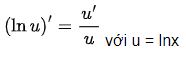
Đạo hàm hàm hợp

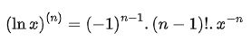
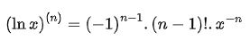
Đạo hàm cấp cao

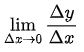
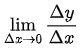
Tính đạo hàm bằng định nghĩa
Bước 1: Tính![]()
Bước 2: Lập tỉ số ![]()
Bước 3: Tìm 
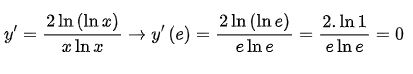
Ví dụ: Tính đạo hàm của hàm số y = ln2(lnx) tại điểm x = e
A. y’(e) = e
B. y’(e) = 1
C. B. y’(e) = 2/e
D. y’(e) = 0
Hướng dẫn giải
Nhận thấy:
với u = ln(lnx)
Áp dụng công thức ta được ![]()
Thực hiện tính
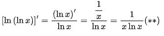
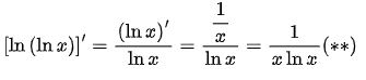
Nhận thấy biểu thức có dạng 
Áp dụng công thức ta được 
Từ (*) và (**) ta có:

Vậy đáp án D là đúng
Trên đây VnDoc.com vừa gửi tới bạn đọc bài viết Đạo hàm In. Chắc hẳn qua bài viết bạn đọc đã nắm được những ý chính cũng như trau dồi được nội dung kiến thức của bài học rồi đúng không ạ? Bài viết cho chúng ta thấy được công thức đạo hàm In, đạo hàm hàm hợp, đạo hàm cấp cao, cách tính đạo hàm bằng định nghĩa... Hi vọng qua bài viết bạn đọc có thể học tập tốt hơn môn Toán lớp 11 nhé. Mời bạn đọc cùng tham khảo thêm tài liệu học tập các môn Hóa học lớp 11, Vật lý lớp 11...
