Đáp án đề thi tuyển sinh lớp 10 môn Toán tỉnh Ninh Thuận năm 2022
Đề thi vào lớp 10 Toán Ninh Thuận năm 2022
Sáng 2/6, các thí sinh tỉnh Ninh Thuận tiếp tục làm bài thi môn Toán kỳ thi tuyển sinh lớp 10 năm 2022. Sau đây, VnDoc sẽ gửi tới các bạn Đề thi tuyển sinh lớp 10 môn Toán năm 2022 tỉnh Ninh Thuận, có đáp án kèm theo. Mời các bạn theo dõi để so sánh đối chiếu với kết quả bài làm của mình nhé.
Tham khảo thêm: Đáp án đề thi tuyển sinh lớp 10 môn Văn tỉnh Ninh Thuận năm 2022
1. Đáp án đề thi vào 10 môn Toán Ninh Thuận 2022
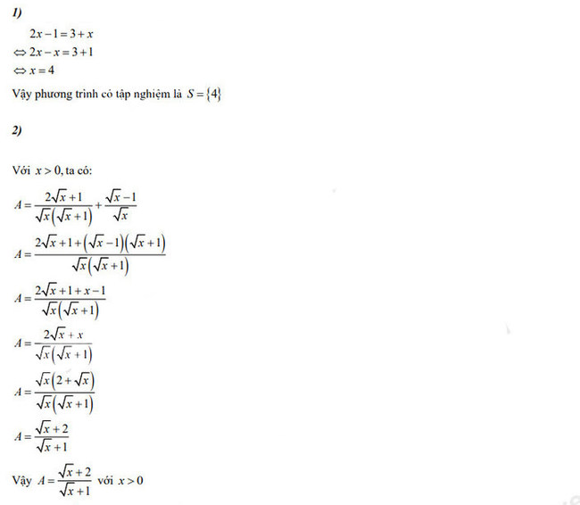
Câu 1.

Câu 2

Câu 3
Câu 4
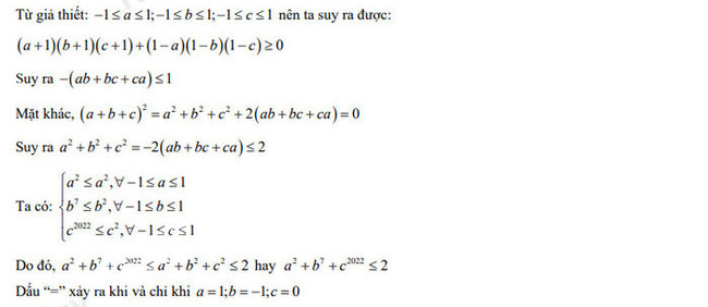
Câu 5

2. Đề thi tuyển sinh lớp 10 môn Toán Ninh Thuận 2022

........................
Trên đây VnDoc đã gửi tới các bạn Đề thi tuyển sinh lớp 10 môn Toán tỉnh Ninh Thuận 2022. Sau khi thi xong, chắc hẳn điều mà các em quan tâm nhiều nhất là điểm số và điểm chuẩn kỳ thi tuyển sinh vào lớp 10 năm 2022. Để biết những thông tin này, mời các em vào chuyên mục Thi vào lớp 10 trên Vndoc để tham khảo nhé. Chúng tôi sẽ cập nhật liên tục những thông tin mới nhất và quan trọng về kỳ thi. Mời các bạn chú ý theo dõi nhé.