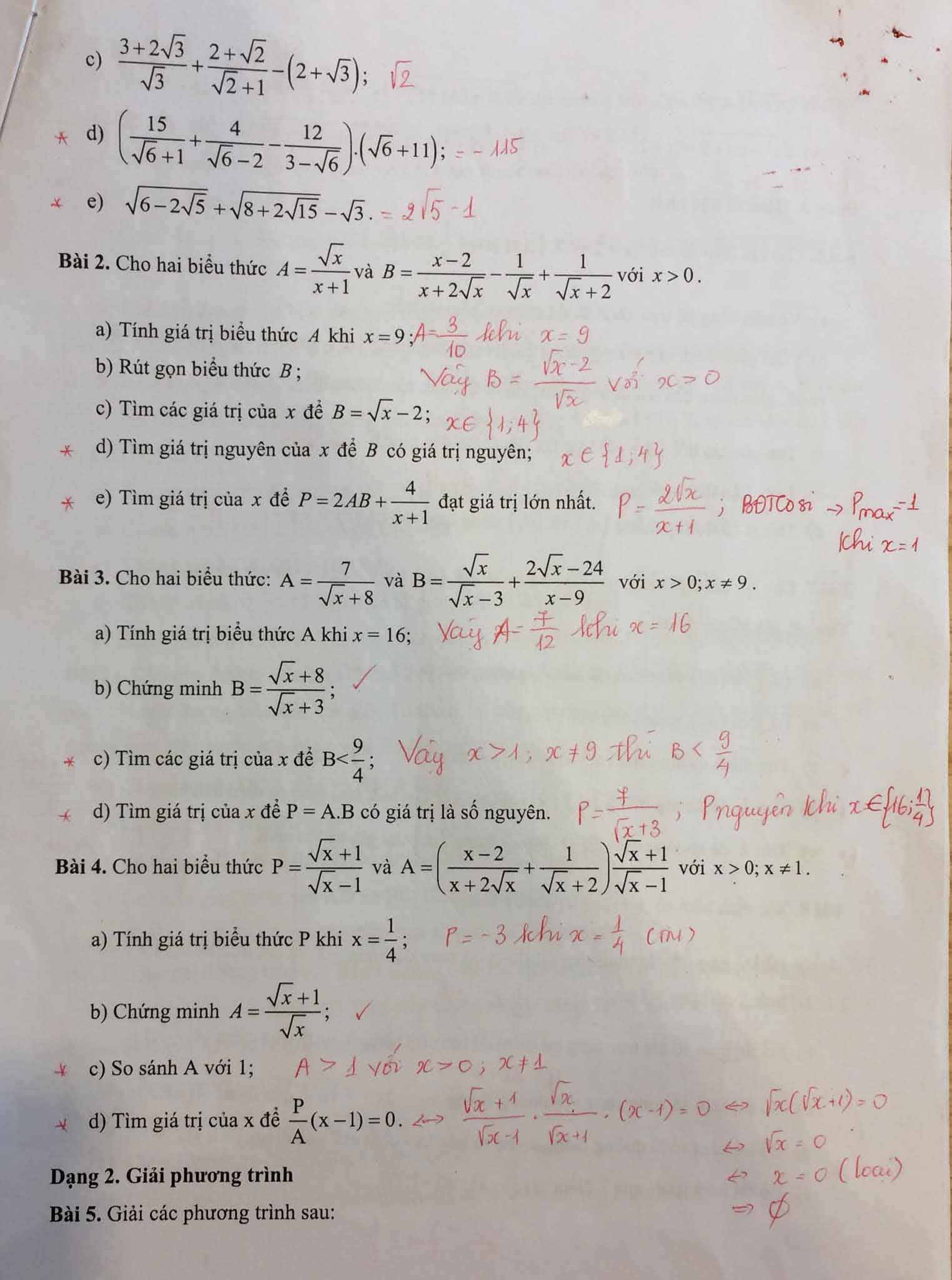
Đề cương ôn tập học kì 1 Toán 9 Trường Trung học Vinschool năm 2021 - 2022
Đề cương ôn tập học kì 1 Toán 9 Trường Trung học Vinschool năm 2021
Nhằm giúp các em học sinh lớp 9 ôn tập lại kiến thức môn Toán, tích lũy thêm cho bản thân mình những kinh nghiệm giải đề hay, đồng thời biết cách phân bổ thời gian làm bài sao cho hợp lý để đạt được điểm số cao cho kì thi học kì 1 lớp 9 sắp tới. VnDoc đã sưu tầm và xin giới thiệu tới các em: Đề cương ôn tập học kì 1 Toán 9 Trường Trung học Vinschool năm 2021 - 2022. Mời các em cùng tham khảo nội dung chi tiết dưới đây







Ngoài ra, VnDoc.com đã thành lập group chia sẻ tài liệu học tập THCS miễn phí trên Facebook: Tài liệu học tập lớp 9. Mời các bạn học sinh tham gia nhóm, để có thể nhận được những tài liệu mới nhất.
Đề cương ôn tập học kì 1 Toán 9 Trường Trung học Vinschool năm 2021 - 2022 được VnDoc chia sẻ trên đây. Hy vọng thông qua đề cương này sẽ giúp ích cho các em có thêm tài liệu ôn tập, rèn luyện kỹ năng giải đề, biết cách phân bổ thời gian cho hợp lý. Chúc các em ôn thi tốt, nếu thấy tài liệu hay, hãy chia sẻ cho các bạn cùng tham khảo nhé
Ngoài Đề cương ôn tập học kì 1 Toán 9 Trường Trung học Vinschool năm 2021 - 2022, các em có thể tham khảo thêm các đề thi học kì 1 lớp 9 hoặc các môn học như Toán, Văn, Tiếng Anh...đều có tại trong chuyên mục tài liệu học tập lớp 9 các em nhé