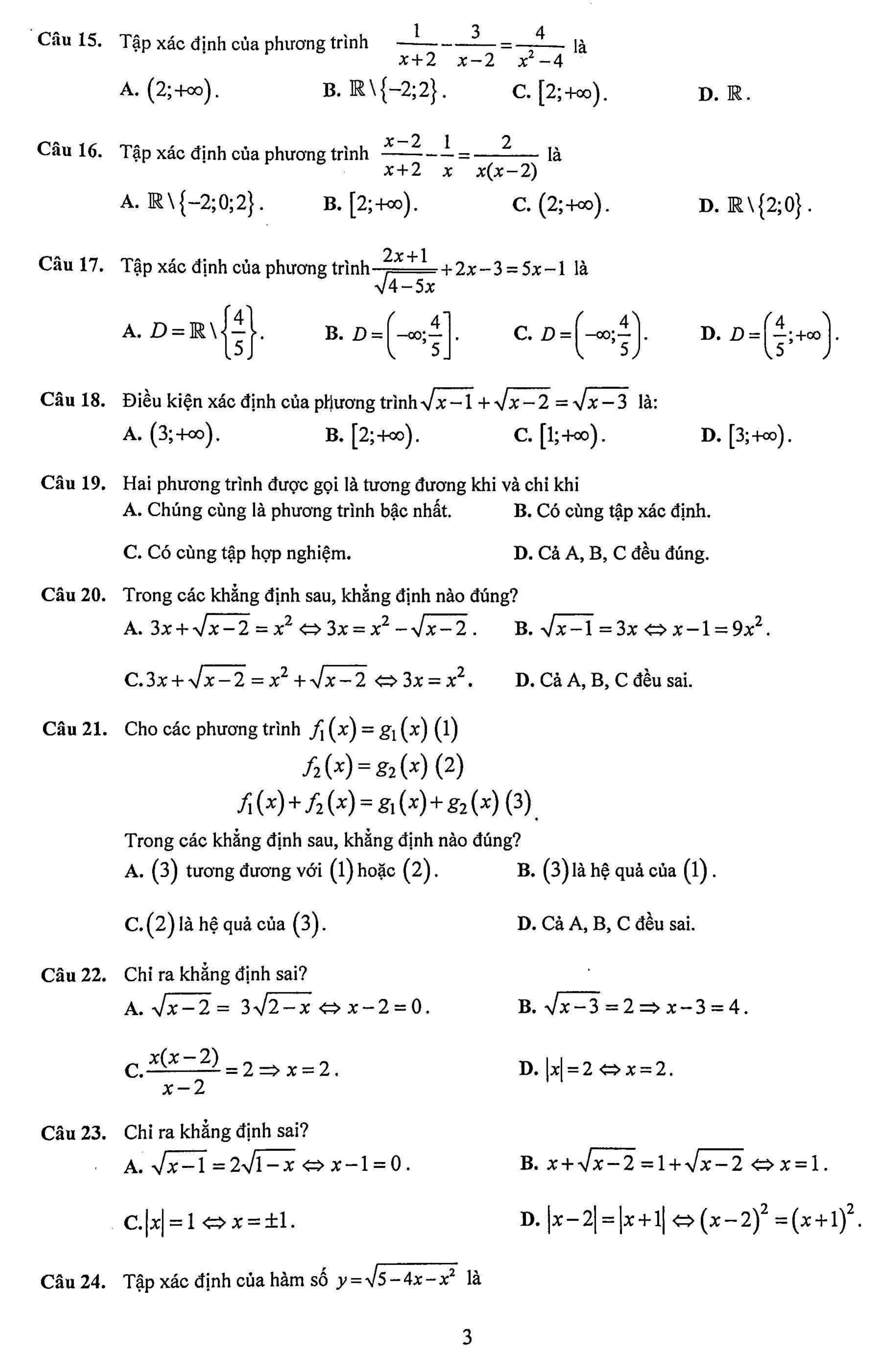
Đề cương ôn tập học kì 2 môn Toán lớp 10 năm 2017 - 2018 trường PTLC Vinschool - Hà Nội



Đề cương ôn tập học kì 2 môn Toán lớp 10
VnDoc xin giới thiệu tới bạn đọc tài liệu Đề cương ôn tập học kì 2 môn Toán lớp 10 năm 2017 - 2018 trường PTLC Vinschool - Hà Nội, nội dung tài liệu sẽ là nguồn thông tin hữu ích để phục vụ công việc học tập của các bạn học sinh được tốt hơn. Mời thầy cô cùng các bạn học sinh tham khảo.
Đề khảo sát chất lượng giữa học kỳ 2 môn Toán lớp 10 năm 2017 - 2018 trường B Bình Lục - Hà Nam
Đề thi khảo sát chất lượng môn Toán lớp 10 trường THPT Minh Châu, Hưng Yên năm 2015 - 2016 (Lần 2)
Đề kiểm tra học kì 2 môn Toán lớp 10 Trường THPT chuyên Hà Nội Amsterdam
------------------------------
Trên đây VnDoc.com đã giới thiệu tới bạn đọc tài liệu: Đề cương ôn tập học kì 2 môn Toán lớp 10 năm 2017 - 2018 trường PTLC Vinschool - Hà Nội. Để có kết quả cao hơn trong học tập, VnDoc xin giới thiệu tới các bạn học sinh tài liệu Thi thpt Quốc gia môn Văn, Thi thpt Quốc gia môn Lịch sử, Thi thpt Quốc gia môn Địa lý mà VnDoc tổng hợp và đăng tải.