Đề thi khảo sát chất lượng môn Toán lớp 10 trường THPT Minh Châu, Hưng Yên năm 2015 - 2016 (Lần 2)
Đề thi KSCL môn Toán lớp 10 có đáp án
Đề thi khảo sát chất lượng môn Toán lớp 10 trường THPT Minh Châu, Hưng Yên năm 2015 - 2016 (Lần 2) gồm 7 câu hỏi có đáp án đi kèm, là tài liệu ôn tập môn Toán hữu ích dành cho các bạn học sinh lớp 10 muốn củng cố và nâng cao kiến thức hiệu quả. Mời các bạn tham khảo.
Đề kiểm tra học kì 2 môn Toán lớp 10 Trường THPT chuyên Hà Nội Amsterdam
Đề thi học kì 2 môn Toán lớp 10 trường THPT Đa Phúc, Hà Nội năm 2015
|
SỞ GDĐT HƯNG YÊN TRƯỜNG THPT MINH CHÂU
|
ĐỀ KHẢO SÁT LẦN 2 NĂM HỌC 2015 – 2016 MÔN: TOÁN 10 Thời gian làm bài: 120 phút (không kể thời gian giao đề) |
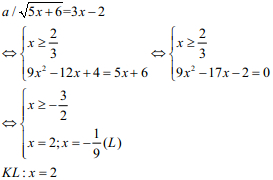
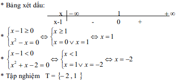
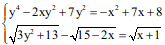
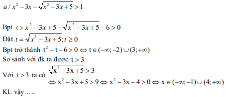
Câu 1 (2 điểm) Giải các phương trình
![]()
![]()
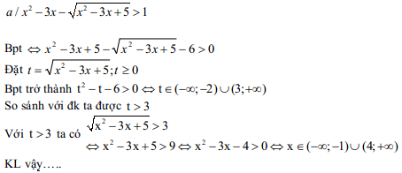
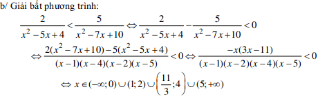
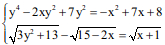
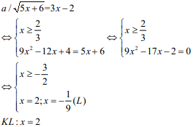
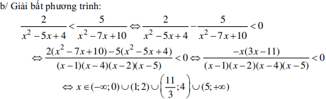
Câu 2 (2 điểm) Giải các bất phương trình
![]()
Câu 3 (0.75 điểm) Giải hệ phương trình ![]()
Câu 4 (0.75 điểm) Tìm các giá trị của tham số m để đường thẳng y = -2x + 4 cắt đồ thị hàm số y = x2 + 2mx + 1 - 3m tại A và B sao cho tam giác OAB có diện tích bằng 122 (O là gốc tọa độ).
Câu 5 (2 điểm) Cho ΔABC biết: A(4;5), B(1;1) và I(0;–2) là tâm đường tròn nội tiếp ΔABC.
a) Viết phương trình đường thẳng AB.
b) Tính cosin của góc tạo bởi hai đường thẳng AB và AI.
c) Tính khoảng cách từ I đến đường thẳng AB. Viết phương trình đường thẳng BC
Câu 6 (1,5 điểm)
a) Cho tam giác ABC biết tọa độ trực tâm H(2;2). Tâm đường tròn ngoại tiếp tam giác ABC là điểm I(1;2). Xác định tọa độ các điểm A, B, C biết trung điểm của BC là điểm M(1;1) và hoành độ điểm B âm.
b) Cho hình chữ nhật ABCD. Kẻ BK ⊥ AC. Gọi M, N lần lượt là trung điểm của AK và CD. Chứng minh rằng: ![]()
Câu 7 (1 điểm)
Cho a, b, c là ba số thực dương thỏa mãn abc = 1. Tìm giá trị lớn nhất của biểu thức:
![]()
Đáp án đề kiểm tra chất lượng môn Toán lớp 10
Câu 1. a

Câu 1. b

Câu 2. a

Câu 2. b

(Còn tiếp)