Đề kiểm tra 1 tiết học kì 1 môn Toán lượng giác lớp 11 trường THPT Ngô Gia Tự, Đăk Lăk năm học 2016 - 2017
Đề kiểm tra 1 tiết môn Toán lớp 11 có đáp án
Lớp:
Lớp 11
Môn:
Toán
Dạng tài liệu:
Đề thi
Thời gian:
Học kì 1
Loại File:
Word + PDF
Phân loại:
Tài liệu Tính phí
Đề kiểm tra 1 tiết học kì 1 môn Toán lượng giác lớp 11
Đề kiểm tra 1 tiết học kì 1 môn Toán lượng giác lớp 11 trường THPT Ngô Gia Tự, Đăk Lăk năm học 2016 - 2017. Với tài liệu hay và chất lượng này kỹ năng giải đề thi của các bạn học sinh sẽ được nâng cao. Ngoài ra đây cũng là một nguồn tài liệu tham khảo hữu ích dành cho quý thầy cô nhằm phục vụ công tác giảng dạy.
Đề kiểm tra 45 phút môn Toán (Đại số) lớp 10 trường THPT Đoàn Thượng, Hải Dương năm học 2016 - 2017
Đề thi giữa học kì 1 môn Toán (đại số) lớp 11 trường THPT Ngọc Tảo, Hà Nội năm học 2015 - 2016
| SỞ GD&ĐT TỈNH ĐĂK LĂK TRƯỜNG THPT NGÔ GIA TỰ |
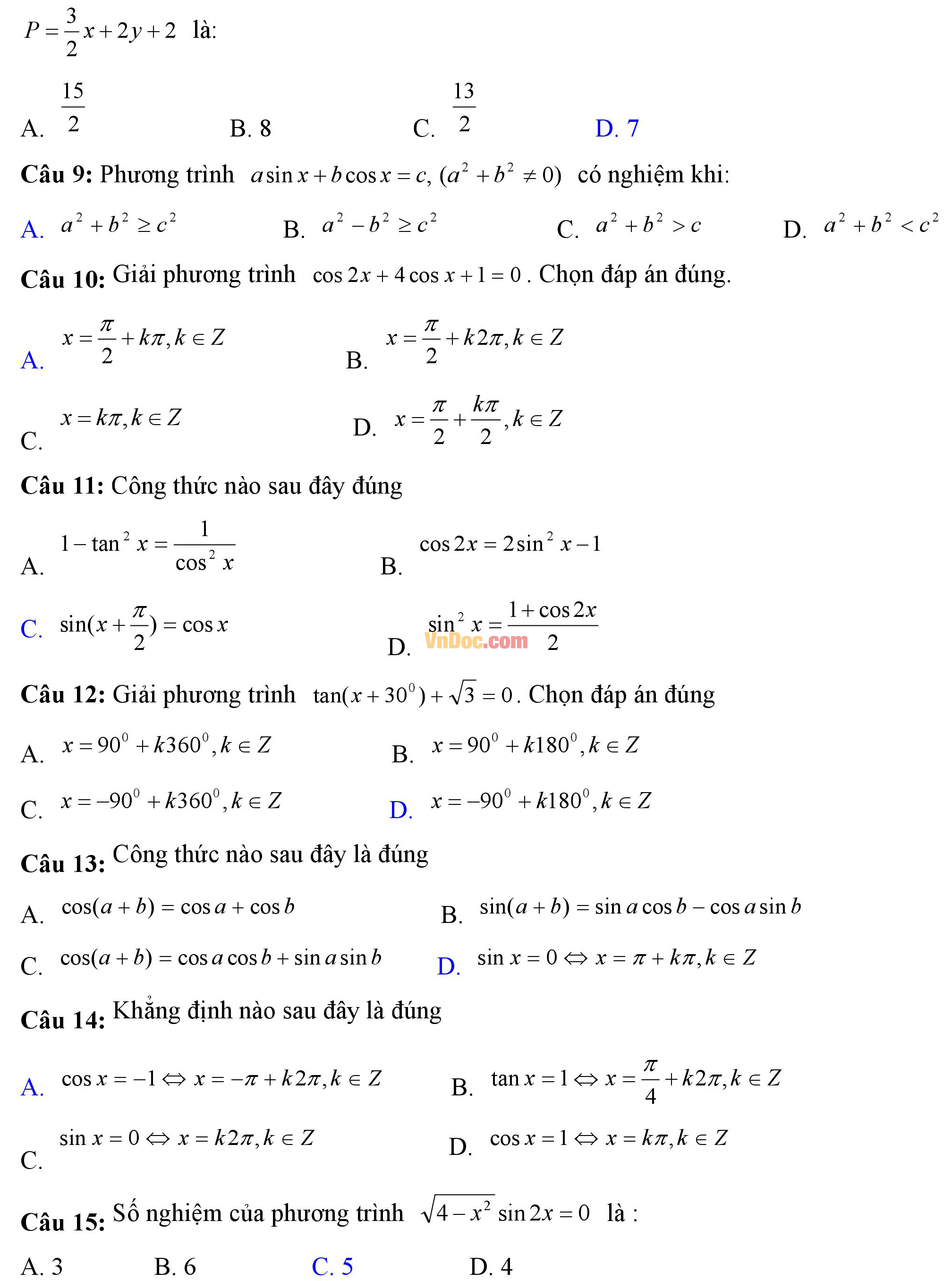
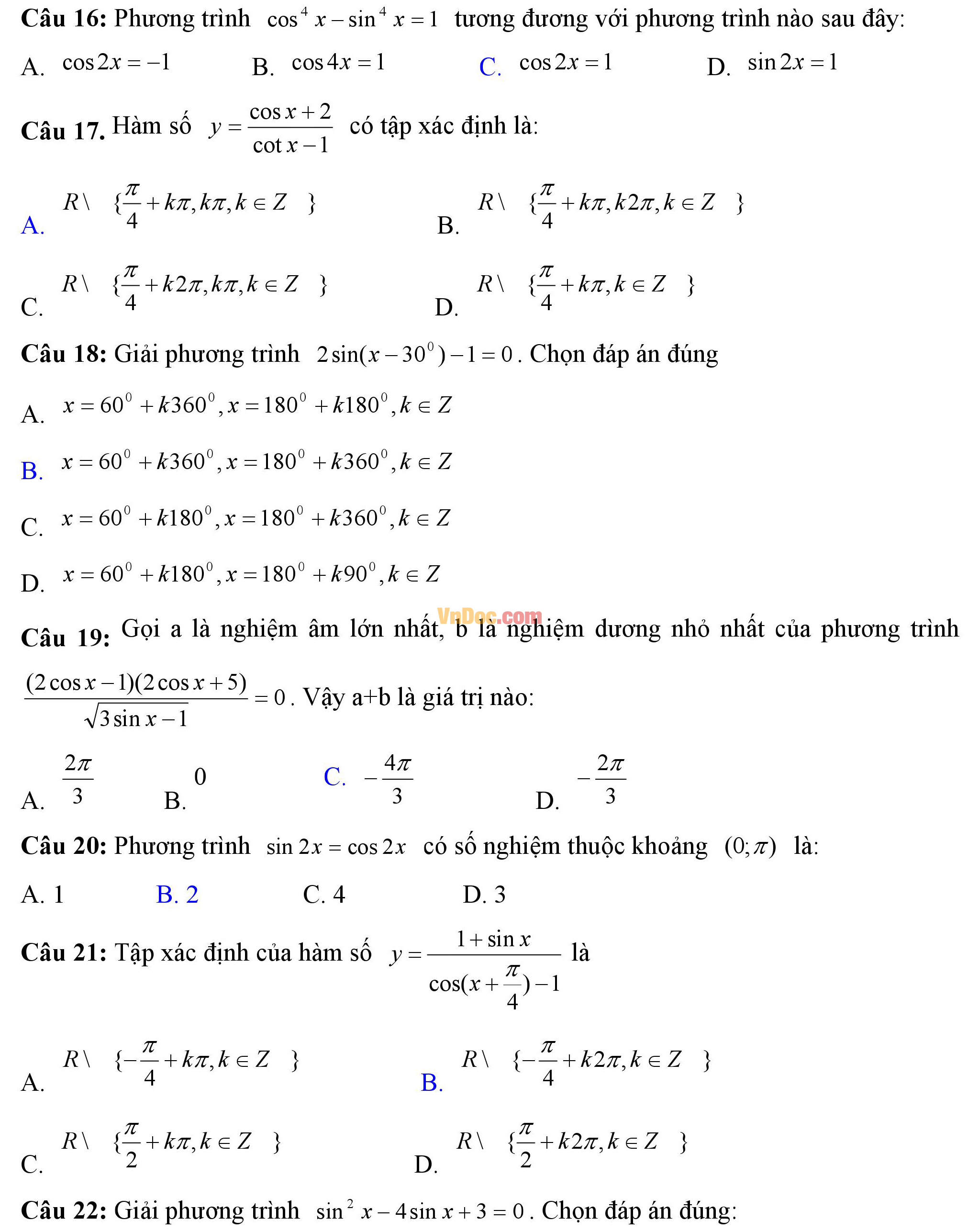
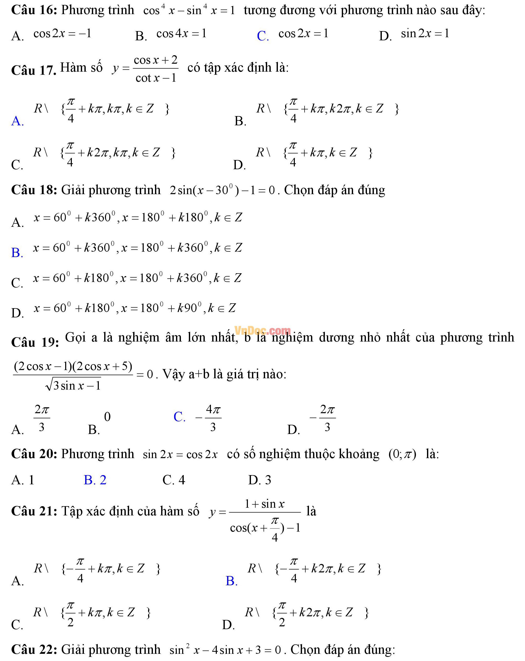
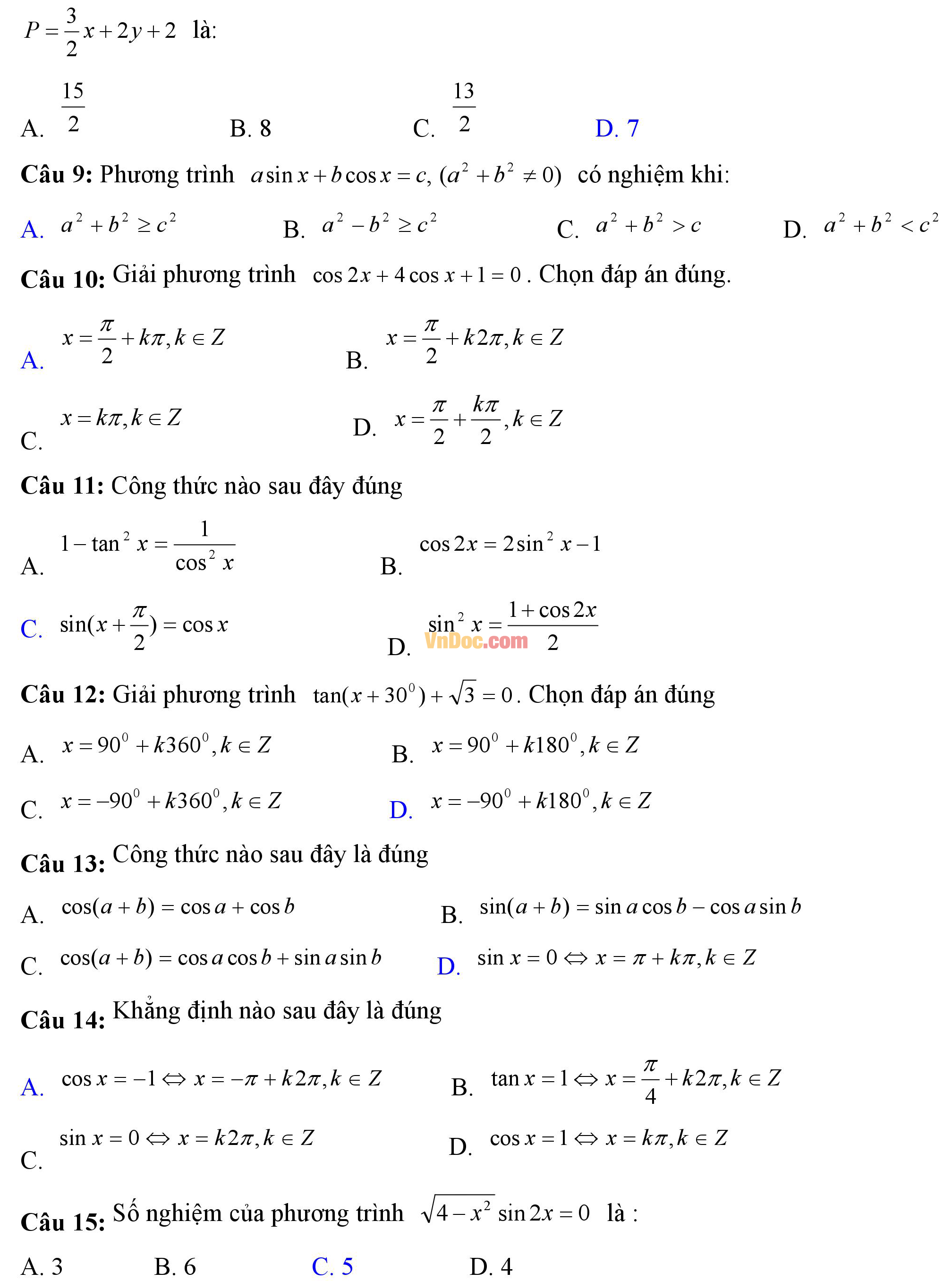
ĐỀ KIỂM TRA 1 TIẾT HỌC KỲ I NĂM HỌC 2016 – 2017 MÔN: TOÁN LƯỢNG GIÁC - KHỐI: 11 Đề gồm: 25 câu - Thời gian làm bài: 45 phút |



