Đề kiểm tra 1 tiết môn Toán Chương 3 lớp 6 - Đề 1
Đề kiểm tra 45 phút Toán Số học lớp 6 Chương 3
Đề kiểm tra 1 tiết môn Toán Chương 3 lớp 6 - Đề 1 bao gồm đáp án chi tiết cho từng dạng bài tập sẽ giúp các em học sinh ôn tập hệ thống lại kiến thức ôn tập chương trình học Toán 6 chương 3, ôn thi cuối học kì 2 hiệu quả đạt kết quả cao. Mời các em cùng tham khảo chi tiết.
Đề bài kiểm tra 1 tiết Chương 3 môn Toán lớp 6
Bài 1. (4 điểm) Tính (tính nhanh nếu có thể):
a) 20,7 + 1,47 : 7 - 0,23 . 5

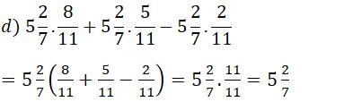
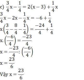
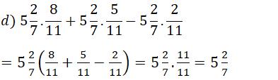
Bài 2. (3 điểm) Tìm x, biết:

Bài 3. (3 điểm) Một lớp có 48 học sinh, kết quả học kì 2 được xếp thành 3 loại giỏi, khá, trung bình. Số học sinh giỏi chiếm 25% số học sinh cả lớp, số học sinh khá chiếm 45% số học sinh cả lớp, còn lại là học sinh trung bình. Tính số học sinh mỗi loại.
>> Tham khảo: Đề kiểm tra 1 tiết môn Toán Chương 3 lớp 6 - Đề 2
Đáp án đề kiểm tra 45 phút môn Toán lớp 6
Bài 1
a) 20,7 + 1,47 : 7 – 0,23.5
= 20,7 + 0,21 – 1,15
= 20,91 – 1,15
= 19,76


Bài 2



Bài 3
Số học sinh giỏi là:
48.25% = 12 (học sinh)
Số học sinh khá là:
48.50% = 24 (học sinh)
Số học sinh trung bình là:
48 – (12 + 24) = 12 (học sinh)
Ngoài Đề kiểm tra 1 tiết môn Toán Chương 3 lớp 6 - Đề 2 mới nhất trên, các em học sinh tham khảo các bài giải SGK môn Toán lớp 6, Môn Ngữ văn 6, Môn Vật lý 6, môn Sinh Học 6, môn Địa lý lớp 6, môn Lịch sử lớp 6....và các đề thi học kì 2 lớp 6 để chuẩn bị cho các bài thi đề thi học kì 2 đạt kết quả cao.