Đề kiểm tra 1 tiết môn Toán Chương 3 lớp 6 - Đề 2
Đề kiểm tra 45 phút Toán lớp 6 Chương 3
Đề kiểm tra 1 tiết môn Toán Chương 3 lớp 6 - Đề 2 bao gồm đáp án chi tiết cho từng dạng bài tập sẽ giúp các em học sinh ôn tập hệ thống lại kiến thức ôn tập chương trình học Toán 6 chương 3, ôn thi cuối học kì 2 hiệu quả đạt kết quả cao. Mời các em cùng tham khảo chi tiết.
Đề bài kiểm tra 1 tiết Chương 3 môn Toán lớp 6
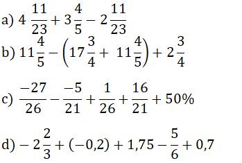
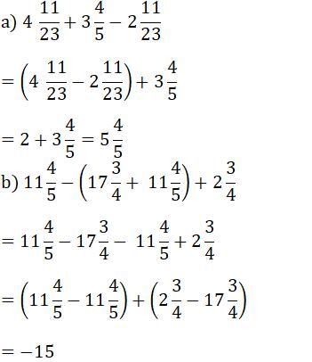
Bài 1. (4 điểm) Tính bằng cách hợp lí (nếu có thể):

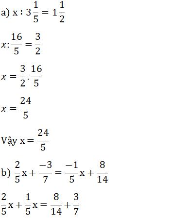
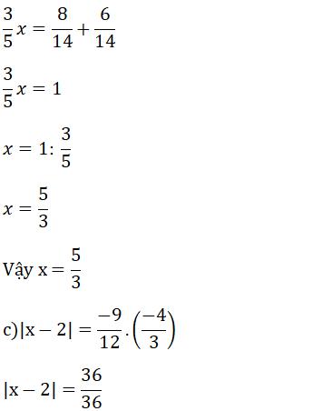
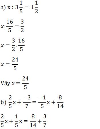
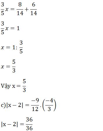
Bài 2. (3 điểm) Tìm x, biết:

Bài 3. (3 điểm) Một bà đi chợ bán trứng, lần đầu bà bán được 2/5 số trứng, lần 2 bà bán được 2/3 số trứng còn lại, cuối cùng còn lại 10 quả. Hỏi số trứng ban đầu bà mang đi bán là bao nhiêu quả?
>> Tham khảo: Đề kiểm tra 1 tiết môn Toán Chương 3 lớp 6 - Đề 1
Đáp án đề kiểm tra 45 phút môn Toán lớp 6
Bài 1.


Bài 2.


|x - 2| = 1
x - 2 = 1 hoặc x - 2 = -1
x = 3 hoặc x = 1
Vậy x = 3 hoặc x = 1
Bài 3.
Số trứng còn lại sau lần bán đầu tiên là:

Lần thứ hai, bà bán được:

Phân số ứng với 10 quả trứng còn lại là:

Vậy số trứng ban đầu bà mang đi bán là:

Ngoài Đề kiểm tra 1 tiết môn Toán Chương 3 lớp 6 - Đề 2 mới nhất trên, các em học sinh tham khảo các bài giải SGK môn Toán lớp 6, Môn Ngữ văn 6, Môn Vật lý 6, môn Sinh Học 6, môn Địa lý lớp 6, môn Lịch sử lớp 6....và các đề thi học kì 2 lớp 6 để chuẩn bị cho các bài thi đề thi học kì 2 đạt kết quả cao.