Đề kiểm tra chất lượng giữa học kì I môn Toán lớp 9 huyện Bình Giang năm 2014 - 2015
Đề kiểm tra chất lượng giữa học kì I môn Toán lớp 9
Đề kiểm tra giữa học kì 1 môn Toán học lớp 9 năm học 2014 - 2015 huyện Bình Giang là đề thi học kì I lớp 9 dành cho các bạn học sinh tham khảo nhằm củng cố kiến thức. Đề thi môn Toán học có đáp án đi kèm, thuận tiện hơn khi luyện tập và kiểm tra kết quả. Chúc các bạn học tốt.
Đề kiểm tra giữa học kỳ I môn Ngữ văn lớp 9 năm 2015 - 2016
Đề kiểm tra giữa học kì I môn Toán lớp 9 trường THCS Lê Anh Xuân năm 2015 - 2016
| PHÒNG GD&ĐT BÌNH GIANG
ĐỀ CHÍNH THỨC |
ĐỀ KIỂM TRA CHẤT LƯỢNG GIỮA HỌC KỲ I NĂM HỌC 2014 – 2015 MÔN: ĐẠI SỐ – LỚP 9 Thời gian làm bài: 45 phút (Đề bài gồm 01 trang) |
Câu 1 (2,0 điểm). Tính
1) √(4/9) 2) √25 + √49 – √144
3) √2(√8 + √2) 4) (√3 – √2) (√3 + √2)
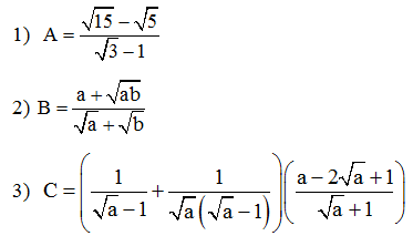
Câu 2 (4,0 điểm). Rút gọn các biểu thức (giả thiết các biểu thức chữ đều có nghĩa)

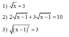
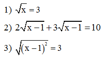
Câu 3 (3,0 điểm). Tìm x biết

Câu 4 (1,0 điểm).
1) Phân tích thành nhân tử: x√x + y √y
2) Tìm x biết
![]()
| PHÒNG GD&ĐT BÌNH GIANG
ĐỀ CHÍNH THỨC |
ĐỀ KIỂM TRA CHẤT LƯỢNG GIỮA HỌC KỲ I NĂM HỌC 2014 – 2015 MÔN: HÌNH HỌC – LỚP 9 Thời gian làm bài: 45 phút (Đề bài gồm 01 trang) |
Câu 1 (4,0 điểm). Cho hình vẽ sau

1) Hãy viết công thức tính sinα; cosα; tanα và cotα theo a; b; c
2) Áp dụng các công thức trên chứng minh rằng:
a) tanα . cotα = 1;
b) sin2α + cos2α = 1.
Câu 2 (4,0 điểm). Cho tam giác ABC biết AB = 4cm; AC = 3cm và BC = 5cm.
1) Chứng minh rằng tam giác ABC là tam giác vuông;
2) Tính số đo góc B và góc C;
3) Tính đường cao AH của tam giác.
Câu 3 (2,0 điểm). Cho đường tròn tâm O. Lấy A là một điểm nằm bên trong và B là điểm nằm ngoài đường tròn sao cho ba điểm O; A; B không thẳng hàng.
Chứng minh rằng góc ∠OAB > ∠OBA.
Đáp án đề kiểm tra chất lượng giữa học kì I môn Toán lớp 9
Môn Đại Số

Môn Hình Học
