Đề kiểm tra giữa học kì I môn Toán lớp 9 trường THCS Lê Anh Xuân
Đề kiểm tra giữa học kì I môn Toán lớp 9
Đề kiểm tra giữa học kì 1 môn Toán học lớp 9 năm học 2015 - 2016 trường THCS Lê Anh Xuân, Tân Phú là đề thi học kì I lớp 9 dành cho các bạn học sinh tham khảo nhằm củng cố kiến thức. Đề thi giữa kì 1 lớp 9 môn Toán học có đáp án đi kèm, thuận tiện hơn khi luyện tập và kiểm tra kết quả. Chúc các bạn học tốt.
Đề kiểm tra giữa học kì 1 môn Ngữ văn lớp 9 huyện Bình Giang, Hải Dương
Đề kiểm tra học kỳ I môn Sinh học lớp 9 trường THCS Vũng Thơm
Đề kiểm tra học kì I lớp 9 môn Hóa học - Sở Giáo dục Đồng Nai
Đề kiểm tra giữa học kì 1 môn Toán lớp 9 trường THCS Thuận Hưng, Hậu Giang
PHÒNG GD – ĐT QUẬN TÂN PHÚ
TRƯỜNG THCS LÊ ANH XUÂN
ĐỀ KIỂM TRA GIỮA HỌC KÌ 1 NĂM HỌC 2015 – 2016
MÔN TOÁN LỚP 9
Thời gian làm bài: 60 phút (không kể thời gian phát đề)
Đề 1:
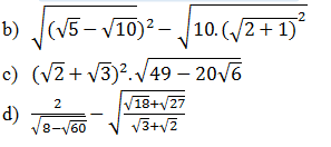
Bài 1: (4,0 điểm) Thực hiện tính (rút gọn)
a) 2√45 – 3√72 -1/2 √320 + 6 √18

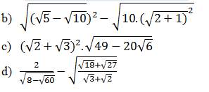
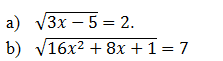
Bài 2: (2,0 điểm) Giải các phương trình sau:

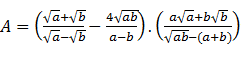
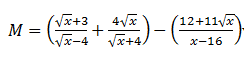
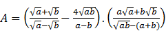
Bài3: (0,5 điểm) Rút gọn biểu thức sau:

với a ≥ 0; b ≥ 0; a ≠ b
Bài 4: (3,5 điểm) Cho tam ABC vuông tại A, có AB = 27cm, AC = 36cm.
a) Tính số đo các góc nhọn trong tam giác ABC? (Làm trong kết quả tới độ)
b) Vẽ đường thẳng vuông góc với đoạn thẳng BC tại điểm B, đường thẳng này cắt tia CA tại giao điểm D. Tính chiều dài AD?
c) Vẽ điểm E' đối xứng với A qua đường thẳng BC. Không tính độ dài đoạn thẳng AE, chứng minh rằng:
![]()
d) Trên nửa mặt phẳng có bờ BC không chứa điểm A, lấy điểm m sao cho tam giác MBC vuông cân tại M. Chứng minh AM là tia phân giác của góc BAC?
ĐỀ 2
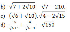
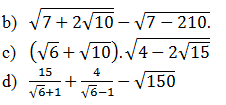
Bài 1: (4,0 điểm) Tính
a) 5√48 – 4√27 – 2√75 + √147

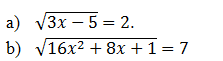
Bài 2: (2,0 điểm) Giải các phương trình sau:

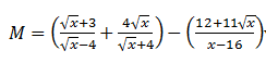
Bài 3: (0,5 điểm) Rút gọn biểu thức sau:

với x ≥ 0; x ≠ 16
Bài 4: (3,5 điểm) Cho tam ABC vuông tại A, có AB = 7cm, BC = 25cm.
a) Giải tam giác ABC? (Làm trong kết quả tới độ)
b) Kẻ đường cao AD. Tính AD, DC
c) Gọi Q là trung điểm của AB. Kẻ QI ⊥ BC (I thuộc BC).
Chứng minh:
![]()
Ngoài đề thi trên, VnDoc còn có rất nhiều đề thi học kì 1 lớp 9 khác để các bạn tham khảo. Các bạn có thể tải đề thi học kì 1 lớp 9 môn Toán của những năm trước về để luyện tập thêm, chuẩn bị tốt nhất cho kì thi học kì sắp tới. Chúc các bạn học tốt.