Đề kiểm tra học kì 1 môn Toán lớp 8 năm học 2014 - 2015 huyện Thanh Thủy, Phú Thọ
Đề kiểm tra học kì 1 môn Toán lớp 8
Đề kiểm tra học kì 1 môn Toán lớp 8 năm học 2014 - 2015 huyện Thanh Thủy, Phú Thọ có đáp án đi kèm, đây là tài liệu tham khảo hữu ích dành cho các bạn học sinh lớp 8, giúp các bạn ôn tập và củng cố kiến thức Toán 8, ôn thi học kì 1 hiệu quả.
Đề kiểm tra học kì 1 môn Ngữ văn lớp 8 năm học 2014 - 2015 huyện Thanh Thủy, Phú Thọ
Đề kiểm tra học kì 1 môn Toán lớp 8 năm học 2013 - 2014 huyện Long Mỹ, Hậu Giang
PHÒNG GIÁO DỤC & ĐÀO TẠO THANH THỦY
ĐỀ KIỂM TRA HỌC KỲ 1 LỚP 8 NĂM HỌC 2014 – 2015
MÔN: TOÁN
Thời gian: 90 phút, không kể thời gian giao đề
I. Phần trắc nghiệm: (2 điểm) Hãy chọn đáp án đúng nhất.
Câu 1: Kết quả rút gọn biểu thức (x - 3)(x + 7) - (x + 5)(x - 1) là:
A. – 16 B. 26 - 8x C. 8x - 16 D. – 26
Câu 2: Rút gọn biểu thức (a + b)2 + (a – b)2 ta được:
A. – 4ab B. 2a2 + 2b2 C. 4ab D. 2a2 – 2b2
Câu 3: Kết quả phép tính: 20x2y6z3 : 5xy2z2 là:
A. 4xy3z2 B. 4xy3z3 C. 4xy4z D. 4x2y4z
Câu 4: Kết quả phân tích đa thức x(x + 14) – x – 14 thành nhân tử là:
A. (x + 14)(x + 1) B. (x – 14)(x – 1) C. (x – 14)(x + 1) D. (x + 14)(x – 1)
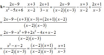
Câu 5: Điều kiện của x để giá trị phân thức
xác định là:
A. x ≠ 3 B. x ≠ 0, x ≠ 3 C. x ≠ ±3 D. x ≠ 0
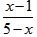
Câu 6: Phân thức đối của phân thức
là:
![]()
Câu 7: Tứ giác là hình chữ nhật là:
A. Tứ giác có hai đường chéo bằng nhau. B. Hình bình hành có một góc vuông.
C. Hình thang có một góc vuông. D. Hình thang có hai góc vuông.
Câu 8: Trong các khẳng định sau, khẳng định đúng là:
A. Trong hình chữ nhật, giao điểm hai đường chéo cách đều 4 đỉnh hình chữ nhật
B. Hình thoi là một hình thang cân
C. Hình thang có hai cạnh bên bằng nhau là hình thang cân
D. Tứ giác có hai đường chéo vuông góc là hình thoi
II. Phần tự luận: (8 điểm)
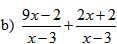
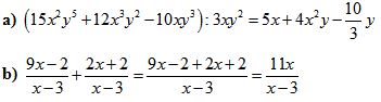
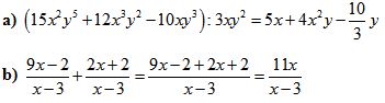
Câu 1 (1 điểm): Thực hiện phép tính
a) (15x2y5 + 12xy2 - 10xy3) : 3xy2 ![]()
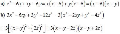
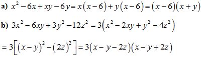
Câu 2 (1 điểm): Phân tích các đa thức sau thành nhân tử:
a) x2 - 6x + xy - 6y b) 3x2 - 6xy + 3y2 - 12z2
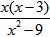
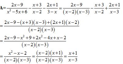
Câu 3 (2,5 điểm): Cho biểu thức ![]()
a) Rút gọn A.
b) Tính giá trị của A khi x= – 3.
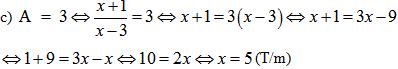
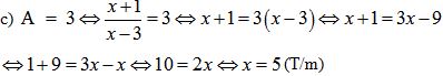
c) Tìm x, biết A = 3
Câu 4 (3 điểm): Cho tam giác ABC vuông ở A (AB < AC), đường cao AH. Gọi D là điểm đối xứng của A qua H. Đường thẳng kẻ qua D song song với AB cắt BC và AC lần lượt ở M và N.
a) Tứ giác ABDM là hình gì? Vì sao?
b) Chứng minh M là trực tâm của tam giác ACD.
c) Gọi I là trung điểm của MC, chứng minh góc HNI = 900.
Câu 5 (0,5 điểm): Tìm a để đa thức f(x) = x3 - 7x - x2 + a chia hết cho đa thức x -3.
Đáp án đề kiểm tra học kì 1 môn Toán lớp 8
I. Phần trắc nghiệm: (2đ) mỗi đáp án đúng được 0,25 điểm
|
Câu |
1 |
2 |
3 |
4 |
5 |
6 |
7 |
8 |
|
Đáp án |
A |
B |
C |
D |
C |
D |
B |
A |
II. Phần tự luận: (8đ)
Câu 1 (1 điểm)

Câu 2 (1 điểm)

Câu 3 (2,5 điểm)
a) ĐKXĐ: x ≠ 2; x ≠ 3

b) Với x = – 3 ta có ![]()
Vậy với x = – 3 thì A = 1/2

Vậy với A = 3 thì x = 5
Câu 4 (3 điểm)
Hình vẽ

a) Ta có DM // AB (gt) (1)
HS chỉ ra được ΔDHM = ΔAHB (g.c.g) => DM = AB (2)
Từ (1) và (2) => tứ giác ABDM là hình bình hành (3)
Lại có AH ┴ BC => AD ┴ BM (4)
Từ (3) và (4) => tứ giác ABDM là hình thoi
b) Do ΔABC vuông ở A => AB ┴ AC (5)
từ (1) và (5) => DM AC => DN ┴ AC
Vậy M là giao điểm của hai đường cao DN và CH trong ΔACD nên M là trực tâm của ΔACD
c) Xét Δ vuông AND có NH = HA = HB (Đường trung tuyến ứng với cạnh huyền)
=> ΔHAN cân tại H => góc HNA = góc HAN (6)
Xét Δ vuông MNC có IN = IM = IC (Đường trung tuyến ứng với cạnh huyền)
=> ΔICN cân tại I => góc INC = góc ICN (7)
Lại có hó HAN + góc ICN = góc HAC + góc HCA = 900 (8)
Từ (6) , (7) và (8) => góc INC + góc HNA = 900 => góc HNI = 900
Câu 5 (0,5 điểm)
f(x) chia hết cho x – 3 khi f(3) = 0
<=> 33 - 7.3 - 32 + a = 0 <=> 27 - 21 - 9 + a = 0 <=> a - 3 = 0 => a = 3
Vậy với a = 3 thì f(x) chia hết cho x – 3