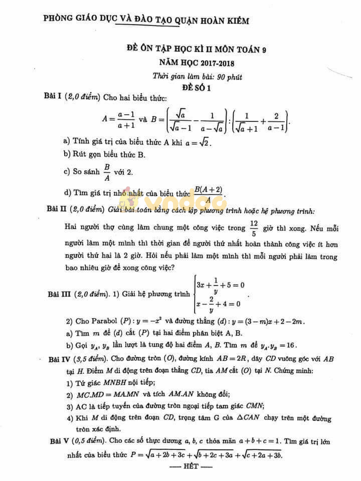
Đề kiểm tra học kì 2 lớp 9 môn Toán Phòng GD&ĐT Hoàn Kiếm năm học 2017 - 2018
Đề thi học kì 2 lớp 9 môn Toán Phòng GD&ĐT Hoàn Kiếm
Đề kiểm tra học kì 2 lớp 9 môn Toán Phòng GD&ĐT Hoàn Kiếm năm học 2017 - 2018 là đề kiểm tra học kì 2 môn Toán lớp 9 dành cho các bạn học sinh lớp 9 tham khảo. Đề thi học kì 2 lớp 9 môn Toán này sẽ giúp các bạn chuẩn bị tốt cho kì thi cuối học kì 2 sắp tới nói chung và ôn thi kiểm tra cuối học kì 2 môn Toán lớp 9 nói riêng. Mời các bạn và thầy cô tham khảo. Chúc các bạn đạt điểm cao trong các kì thi quan trọng sắp tới.
Đề thi học kì 2 môn Toán lớp 9 phòng GD&ĐT Tam Đảo, Vĩnh Phúc năm 2015 - 2016
Đề thi học kì 2 môn Toán lớp 9 phòng GD&ĐT Đại Thành, Bắc Giang năm 2015 - 2016

Mời các bạn tham khảo tài liệu liên quan
Đề kiểm tra học kì 2 lớp 9 môn Toán Phòng GD&ĐT Cầu Giấy năm học 2017 - 2018
Đề cương ôn tập học kì 2 lớp 9 môn Toán trường THCS Trưng Vương năm học 2017 - 2018
Đề cương ôn tập học kì 2 lớp 9 môn Toán trường THCS Chu Văn An, Quận Tây Hồ năm học 2017 - 2018
Đề cương ôn tập học kì 2 lớp 9 môn Toán trường THCS Ngô Sĩ Liên năm học 2017 - 2018