Đề kiểm tra Học kỳ II lớp 12 năm 2012 - 2013, THPT Lê Thánh Tông tỉnh Gia Lai
Đề thi học kỳ II lớp 12
Đề kiểm tra Học kỳ II lớp 12 năm 2012 - 2013, THPT Lê Thánh Tông tỉnh Gia Lai bao gồm đề thi và đáp án các môn Toán, Văn, Tiếng Anh, Địa lý, Hóa học, Sinh học. Đây là tài liệu tham khảo hay dành cho các bạn học sinh ôn thi cuối năm lớp 12, ôn thi THPT Quốc gia, ôn thi tốt nghiệp hiệu quả. Mời các bạn cùng tham khảo.
Đề thi học kì 2 môn Địa lý lớp 12 trường THPT Chương Mỹ A, Hà Nội năm học 2015 - 2016
Đề thi học kì 2 môn Toán lớp 12 trường THPT Yên Lạc 2, Vĩnh Phúc năm học 2015 - 2016
Đề thi học kì 2 môn Sinh học lớp 12 trường THPT Lý Thái Tổ, Bắc Ninh năm học 2015 - 2016
Đề kiểm tra Học kỳ II lớp 12 môn Toán
| SỞ GD&ĐT GIA LAI TRƯỜNG THPT LÊ THÁNH TÔNG |
KIỂM TRA HỌC KÌ II LỚP 12 NĂM HỌC: 2012 - 2013 |
ĐỀ THI MÔN: TOÁN (Thời gian: 150 phút)
I. PHẦN CHUNG CHO TẤT CẢ CÁC THÍ SINH (7,0 điểm)
Câu 1 (3,0 điểm).
Cho hàm số: ![]()
1) Khảo sát sự biến thiên và vẽ đồ thị (C) của hàm số đã cho.
2) Tính thể tích của khối tròn xoay sinh ra khi quay quanh trục Ox hình phẳng giới hạn bởi đồ thị (C), trục Ox và hai đường thẳng x = 2, x = 4
Câu 2 (2,0 điểm). Tính các tích phân:

![]()
Câu 3 (2,0 điểm).
Trong không gian với hệ tọa độ Oxyz, cho mặt phẳng (P) và mặt cầu (S) lần lượt có phương trình: (P): x + 2y + 2z + 5 = 0 và (S): x2 + y2 + z2 - 10x - 2y - 6z + 10 = 0
1) Chứng minh rằng mặt phẳng (P) và mặt cầu (S) không có điểm chung.
2) Từ điểm A nằm trên mặt phẳng (P) kẻ đường thẳng tiếp xúc với mặt cầu (S) tại B. Tìm tọa độ điểm A sao cho độ dài đoạn thẳng AB đạt giá trị nhỏ nhất.
II. PHẦN RIÊNG – PHẦN TỰ CHỌN (3,0 điểm)
Thí sinh chỉ được làm một trong hai phần (phần 1 hoặc phần 2)
Phần 1. Theo chương trình chuẩn.
Câu 4A (1,0 điểm).
Trong không gian với hệ tọa độ Oxyz, cho đường thẳng d và mặt phẳng (P) lần lượt có phương trình:
và (P): x + y + z - 3 = 0. Viết phương trình mặt phẳng (Q) chứa đường thẳng d và vuông góc với mặt phẳng (P).
Câu 5A (2,0 điểm).
1) Giải phương trình: 3z2 - 6z + 7 = 0 với ẩn z trên tập số phức.
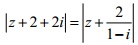
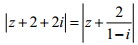
2) Tìm số phức z thỏa mãn
sao cho số phức z có môđun nhỏ nhất.
Phần 2. Theo chương trình nâng cao.
Câu 4B (1,0 điểm).
Trong không gian với hệ tọa độ Oxyz, cho ba mặt phẳng lần lượt có phương trình (P): x - y+ z = 0, (Q): x +4y + z - 5 = 0, (R): 2x - y - z + 7 = 0. Viết phương trình mặt phẳng (α) qua giao tuyến của (P) và (Q) đồng thời vuông góc với mặt phẳng (R).
Câu 5B (2,0 điểm).
1) Giải bất phương trình: ![]()
2) Tìmsố phức z thỏa mãn đi ều kiện
và số phức (2 + 3i)z là một số thực.
Đề kiểm tra Học kỳ II lớp 12 môn Văn
ĐỀ THI MÔN: NGỮ VĂN (Thời gian: 150 phút)
I. PHẦN CHUNG CHO TẤT CẢ CÁC THÍ SINH (5,0 điểm)
Câu 1. (2,0 điểm)
Anh (chị) hãy nêu biểu hiện của nguyên lí “tảng băng trôi” của Hê-minh-uê qua đoạn trích Ông già và biển cả.
Câu 2. (3,0 điểm)
Có ý kiến cho rằng: “Mỗi ngày là một món quà mà cuộc sống đã ban tặng cho chúng ta”.
Viết một bài văn ngắn (khoảng 400 chữ) trình bày suy nghĩ của anh (chị) về ý kiến trên.
II. PHẦN RIÊNG - PHẦN TỰ CHỌN (5,0 điểm)
Thí sinh chỉ được làm một trong hai câu (câu 3.a hoặc câu 3.b)
Câu 3.a. Theo chương trình Chuẩn (5,0 điểm)
Qua đoạn đối thoại giữa hồn Trương Ba và xác hàng thịt trong Hồn Trương Ba, da hàng thịt (Trích Lưu Quang Vũ), anh (chị) hãy phân tích để làm rõ triết lí nhân sinh của tác giả gửi gắm qua đoạn đối thoại trên.
Câu 3.b. Theo chương trình Nâng cao (5,0 điểm)
Vẻ đẹp của chủ nghĩa anh hùng cách mạng Việt Nam trong cuộc kháng chiến chống Mĩ cứu nước qua hai tác phẩm Rừng xà nu (Nguyễn Trung Thành) và Những đứa con trong gia đình (Nguyễn Thi).
Mời các bạn tài file đầy đủ về tham khảo!