Đề thi học kì 2 môn Toán lớp 12 trường THPT Yên Lạc 2, Vĩnh Phúc năm học 2015 - 2016
Đề thi học kì 2 môn Toán lớp 12
Đề thi học kì 2 môn Toán lớp 12 trường THPT Yên Lạc 2, Vĩnh Phúc năm học 2015 - 2016 là đề kiểm tra học kì I lớp 12 nhằm đánh giá chất lượng học tập của học sinh. Đề thi môn Toán có đáp án đi kèm, hi vọng sẽ giúp các bạn củng cố kiến thức, ôn thi học kì II lớp 12, luyện thi THPT Quốc gia môn Toán hiệu quả.
Đề thi học kì 2 môn Toán lớp 12 tỉnh Nam Định năm học 2015 - 2016
Đề thi học kì 2 môn Toán lớp 12 trường THPT Nguyễn Chí Thanh, TP. Hồ Chí Minh năm học 2015 - 2016
|
SỞ GD&ĐT VĨNH PHÚC TRƯỜNG THPT YÊN LẠC 2 ------------------- |
ĐỀ KIỂM TRA HỌC KÌ 2 LỚP 12 MÔN TOÁN NĂM HỌC 2015 – 2016 Thời gian làm bài 90 phút, không kể thời gian giao đề (Đề thi gồm 01 trang) ---------------------- |
Câu 1: (2,5 điểm)
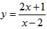
a) Khảo sát và vẽ đồ thị của hàm số
.
b) Tìm m để đồ thị của hàm số y = x3 - 3x2 + mx + 1 có hai điểm cực trị.
Câu 2: (1,0 điểm) Giải phương trình: 1/2 log√3(x - 3) + log27(x + 1)3 = log3(3x - 7).
Câu 3: (2,0 điểm)
a) Tính thể tích khối tròn xoay được tạo bởi phép quay quanh trục hình phẳng giới hạn bởi các đường y = x2 - 2x, y = 0, x = 0 và x = 1.
b) Tính tích phân:
.
Câu 4: (1,0 điểm) Tính môđun của số phức
, biết z = (1 + 2i)2.
Câu 5: (1,0 điểm) Cho hình chóp S.ABCD đáy ABCD là hình vuông cạnh a, tam giác SAB đều. Gọi I, F lần lượt là trung điểm của AB và AD, đường thẳng SI vuông góc với đáy (ABCD). Tính thể tích khối chóp S.ABCD và khoảng cách từ điểm I đến mặt phẳng (SFC).
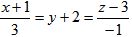
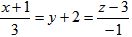
Câu 6: (1,5 điểm) Trong không gian Oxyz, cho đường thẳng Δ có phương trình:
và mặt phẳng (α) có phương trình: x + 2y - 2z + 4 = 0.
a) Tìm tọa độ giao điểm của đường thẳng Δ với mặt phẳng (α).
b) Viết phương trình mặt cầu (S) có tâm D(3; 2; 1) và bán kính là 5. Chứng minh mặt cầu (S) giao với mặt phẳng (α) bởi một đường tròn, tìm bán kính của đường tròn giao đó.
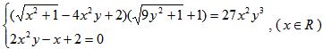
Câu 7: (1,0 điểm) Giải hệ phương trình sau:

Đáp án đề thi học kì 2 môn Toán lớp 12




