Đề thi học kì 2 môn Toán lớp 12 trường THPT Nguyễn Chí Thanh, TP. Hồ Chí Minh năm học 2015 - 2016
Đề thi học kì 2 môn Toán lớp 12
Đề thi học kì 2 môn Toán lớp 12 trường THPT Nguyễn Chí Thanh, TP. Hồ Chí Minh năm học 2015 - 2016 gồm 5 câu hỏi tự luận dành cho các bạn luyện tập. Đề kiểm tra học kỳ II môn Toán lớp 12 có đáp án đi kèm, giúp các bạn tra cứu một cách thuận tiện sau khi đã làm xong. Mời các bạn tham khảo.
Đề thi học kì 2 môn Toán lớp 12 trường THPT Đa Phúc, Hà Nội năm học 2015 - 2016
Đề thi học kì 2 môn Toán lớp 12 tỉnh Hà Tĩnh năm học 2015 - 2016
| SỞ GIÁO DỤC ĐÀO TẠO TP. HỒ CHÍ MINH THPT NGUYỄN CHÍ THANH |
ĐỀ KIỂM TRA HK2 – NĂM HỌC 2015 - 2016 Môn: TOÁN – Khối 12 Thời gian làm bài: 120 phút |
Bài 1. (2,5đ) Cho hàm số y = x4 - 3x2 - 3.
a) Khảo sát và vễ đồ thị (C) của hàm số đã cho.
b) Tính diện tích hình phẳng giới hạn bởi đồ thị (C) và trục Ox.
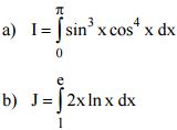
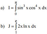
Bài 2. (2đ) Tính các tích phân sau:

Bài 3. (0,5đ) Giải phương trình sau trên tập số phức: z2 - 3z + 3 = 0.
Bài 4. (1đ) Tìm tập hợp các điểm trong mặt phẳng phức biểu diễn số phức z thỏa: ![]()
Bài 5. (4đ) Trong hệ tọa độ Oxyz cho 2 điểm A(3;1;1) , B(4; 3; 4); đường thẳng
và mặt cầu (S): x2 + (y − 1)2 + (z + 2)2 = 9 .
a) Viết phương trình đường thẳng AB. Chứng minh AB ⊥ (d).
b) Viết phương trình mặt phẳng (P) đi qua A và vuông góc với (d).
c) Chứng minh mặt phẳng (P) cắt mặt cầu (S) theo một đường tròn (C). Xác định tâm và tính bán kính của đường tròn (C).
d) Tìm điểm M trên đường thẳng (d) sao cho (MA + MB) nhỏ nhất.
Đáp án đề thi học kì 2 môn Toán lớp 12

