Đề ôn luyện Toán lớp 2 - Đề số 2
Đề tự ôn luyện Toán 2 học kỳ 1
Lớp:
Lớp 2
Môn:
Toán
Bộ sách:
Kết nối tri thức với cuộc sống
Loại File:
PDF
Phân loại:
Tài liệu Tính phí

VnDoc - Tải tài liệu, văn bản pháp luật, biểu mẫu miễn phí
Đề ôn luyện Toán lớp 2 - Đề số 2
A. YÊU CẦU
Củng cố và phát triển kiến thức, kĩ năng về:
– Các số trong phạm vi 100: cấu tạo, phân tích số có hai chữ số, thứu tự so sánh
số trong phạm vi 100; phép trừ (không nhớ) các số có hai chữ số, trừ nhẩm các
số tròn chục.
– Số bị trừ, số trừ, hiệu: tên gọi thành phần và kết quả của phép trừ; tìm hiệu
khi biết số bị trừ và số trừ.
– Đề-xi-mét (tiếp theo): đổi đề- xi-mét sang xăng-ti-mét và ngược lại (trường
hợp đơn giản), vẽ đoạn thẳng có độ dài 1dm.
B. ĐỀ LUYỆN TẬP
ĐỀ BÀI:
1. Viết theo mẫu:
Số 37 gồm 3 chục và 7 đơn vị, viết là: 37=30+7
Số 45 gồm…………………………………………………..
Số 69 gồm…………………………………………………..
Số 88 gồm………………………………………………….
2. Viết các số thích hợp vào chỗ chấm:
Trong số 43, 24, 37, 44, 73, 34:
a) Số bé nhất là:….; số lớn nhất là:………
b) Các số bé hơn 43 là:……………………….
c) Các số lớn hơn 43 là:…………………
d) Các số lớn hơn 24 và bé hơn 73 là:……………
3. Số?
- Số liền trước của 1 là:…..

VnDoc - Tải tài liệu, văn bản pháp luật, biểu mẫu miễn phí
Số liền sau của 99 là:……..
- Biết số liền trước của một số là 34. Số liền sau của số đó là:……..
- Biết số liền sau của một số là 34. Số liền trước của số đó là:………..
4. Viết số thích hợp vào chỗ chấm:
a) …. 7 < 10 +8 b) 36 < 3…..<40
5. Tính nhẩm:
a) 70 – 30 -20 = …….
80 - 10 - 30 =……
90- 60 - 20=……
70 – 50 =……..
80- 40=….
91- 80=……
20 + 50 = ……..
40 + 40 =…..
80 + 10 =…..
6. Viết số thích hợp vào ô trống (theo mẫu):
7. Đặt tính rồi tính hiệu, biết số bị trừ và số trừ lần lượt là:
a) 68 và 35 b) 77 và 33
c) 46 và 6
8. Số?
a) Trong một phép trừ có số bị trừ bằng số trừ thì hiệu là:……
b) Trong một phép trừ có số bị trừ bằn số trừ cộng với 10 thì hiệu là:…..

VnDoc - Tải tài liệu, văn bản pháp luật, biểu mẫu miễn phí
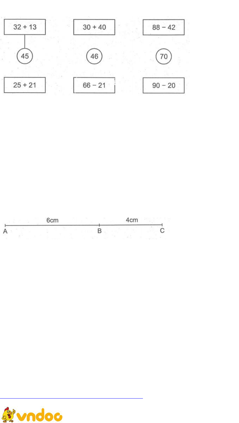
9. Nối (theo mẫu):
10. Điền cm hoặc dm thích hợp vào chỗ chấm:
a) Chiều dài cái bút khoảng 15…..
b) Cái thước kẻ dài khoảng 3……
c) Một gang tay dài khoảng 20…….
d) Một bước chân dài khoảng 50….
e) Chiều dài bìa của quyển Toán 2 đo được 2…. và 4….
11. Số?
Độ dài đoạn thẳng AC là:….cm hay là…dm
b) Vẽ đoạn thẳng MN có độ dài bằng độ dài đoạn thẳng AC.
12. Có một sợi dây dài 90cm, người ta đã cắt đi 2dm. Hỏi sợi dây còn lại dài
bao nhiêu đề-xi-mét?
Bài giải:
…………………………………………………………………………………
…………………………………………………………………………………
…………………………………………………………………………………
Tham khảo thêm tài liệu môn Toán lớp 2:
https://vndoc.com/de-kiem-tra-cuoi-tuan-toan-2
Đề ôn luyện Toán lớp 2 - Đề 2
Đề ôn luyện Toán lớp 2 - Đề số 2 bao gồm chi tiết các dạng toán có đáp án giúp các em học sinh ôn tập, củng cố kỹ năng giải Toán lớp 2, tự luyện tập các dạng bài tập chuẩn bị cho kỳ thi sắp tới môn Toán lớp 2 đạt kết quả cao. Mời các em tham khảo chi tiết.
>>> Bài tiếp theo: Đề ôn luyện môn Toán lớp 2 - Đề số 3
Đề ôn luyện môn Toán lớp 2 - Đề số 2 có ví dụ và bài tập vận dụng kèm hướng dẫn giải chi tiết cho các em học sinh tham khảo vận dụng kỹ năng giải bài tập Toán lớp 2, giúp các em học sinh tự ôn tập và rèn luyện môn Toán nâng cao lớp 2.