Đề ôn tập giữa học kì 2 môn Toán lớp 4 - Đề 5
Đề ôn tập giữa học kì 2 môn Toán lớp 4
Đề ôn tập giữa học kì 2 môn Toán lớp 4 - Đề 5 được VnDoc sưu tầm, chọn lọc cho các em học sinh ôn tập, củng cố kiến thức Toán cơ bản chuẩn bị cho các bài thi kiểm tra giữa học kì 2 lớp 4. Mời các thầy cô cùng các em học sinh tham khảo chi tiết.
Đề bài ôn tập giữa học kì 2 môn Toán lớp 4
Bài 1. Khoanh vào chữ đặt trước câu trả lời đúng:

d) Số thích hợp viết vào chỗ chấm 4 tấn 14 kg = ….. kg là:
A. 414
B. 4014
C. 4140
D. 41400
Bài 2. Tính:
Bài 3. Điền dấu >;=;< thích hợp vào ô trống:
a) 3 giờ 3 phút ▭ 300 phút
b) 7 phút 30 giây ▭ 450 giây
c) 6 m2 7 dm2 ▭ 607 dm2
d) 4 tấn 8 tạ ▭ 4080 kg
Bài 4. Một hình chữ nhật có chu vi 32cm, chiều dài hơn chiều rộng 4 cm. Một hình thoi có cạnh bằng chiều rộng hình chữ nhật trên. Hỏi chu vi hình thoi là bao nhiêu cm?
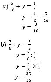
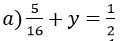
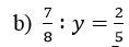
Bài 5. Tìm y:
![]()
![]()
Bài 6. Bác Hùng đi từ nhà lên tỉnh bằng xe đạp. Trong 1 giờ đầu bác đi được 3/5 quãng đường thì dừng lại nghỉ. Hỏi bác Hùng còn phải đi tiếp bao nhiêu km nữa để đến tỉnh.Biết đi từ quãng đường từ nhà bác lên tỉnh dài 20 km.
Đáp án Đề kiểm tra giữa học kì 2 môn Toán lớp 4
Bài 1:
a) D
b) B
c) D
d) B
Bài 2.

Bài 3.
a) <
b) =
c) =
d) >
Bài 4.
Nửa chu vi hình chữ nhật là: 32 : 2 = 16 (cm)
Chiều rộng hình chữ nhật là: (16 – 4) : 2 = 6 (cm)
Vì cạnh hình thoi bằng chiều rộng hình chữ nhật nên cạnh hình thoi là 6 cm. Chu vi hình thoi là: 6 x 4 = 24 (cm)
Đáp số: 24 cm
Bài 5.

Bài 6.
Phân số chỉ số phần quãng đường bác Hùng còn phải đi tiếp là:
1 -
\(\frac{3}{5}\)=
\(\frac{2}{5}\) (quãng đường)
Quãng đường bác Hùng còn phải đi tiếp đến tỉnh là:
20 x
\(\frac{2}{5}\)= 8 (km)
Đáp số: 8 km
Ngoài Đề ôn tập giữa học kì 2 lớp 4 trên, các bạn luyện giải bài tập SGK Tiếng Việt 4 hay SGK môn Toán lớp 4 được VnDoc sưu tầm, chọn lọc. Đồng thời các dạng đề thi học kì 1 lớp 4, đề thi học kì 2 theo Thông tư 22 mới nhất được cập nhật. Mời các em học sinh, các thầy cô cùng các bậc phụ huynh tham khảo đề thi, bài tập mới nhất.