Đề thi giữa học kì 1 môn Toán lớp 5 trường tiểu học Vạn Bình năm học 2016 - 2017
Đề thi giữa học kì 1 môn Toán lớp 5
Đề thi giữa học kì 1 môn Toán Lớp 5 trường tiểu học Vạn Bình năm học 2016 - 2017 có đáp án kèm theo được VnDoc sưu tầm chọn lọc những bài ôn luyện hữu ích giúp các em học sinh ôn tập, củng cố kiến thức chuẩn bị tốt cho bài thi giữa kì. Sau đây mời các em cùng tham khảo và tải về.
Đề kiểm tra giữa học kì 1 môn Toán lớp 5 năm học 2015 - 2016 trường Tiểu học Tứ Yên
Tuyển tập 32 đề thi học kì 1 môn Toán lớp 5
Đề thi giữa học kì 1 môn Toán lớp 5 trường tiểu học Vĩnh Tuy năm học 2015 - 2016
ĐỀ THI GIỮA KỲ I - NĂM HỌC 2016 - 2017
MÔN: TOÁN
LỚP 5 - Ngày kiểm tra: ............
Thời gian làm bài: 50' (Không kể phát đề)
Bài 1: (2 điểm) Đặt tính rồi tính:
a) 14 637 + 824 579
b) 837 035 – 34 184
c) 2 067 × 105
d) 13 498 : 32
Câu 2: (0,5 điểm) Viết các số thập phân sau
a) Bốn mươi đơn vị, bảy phần mười được viết là:................................
b) Hai mươi lăm đơn vị, năm phần trăm được viết là:............................
Câu 3: (1,5 điểm). Em hãy khoanh tròn vào chữ cái đặt trước câu trả lời đúng trong mỗi ý sau:
a) Chữ số 5 trong số thập phân 83,257 có giá trị là:
![]()
b) Số thích hợp điền vào chỗ chấm 17 tấn 16 kg =............. ...kg là:
A. 1 706 B. 1 716 C. 17 016 D. 170 016
c) Số thích hợp điền vào chỗ chấm 186 000 000 cm =.................km là:
A. 18 600 B. 1 860 C. 1 806 D. 186
d) Số thích hợp điền vào chỗ chấm 5ha 7m2 =............... m2 là:
A. 500 7 B. 5 000 7 C. 50 000 7 D. 500 000 7
Câu 4: (1 điểm) Viết số thích hợp vào chỗ chấm
a/ 5m 35cm =............ m b/ ha =................m2
c/ 3,2 tấn =..................kg d/ 150 phút =...............giờ
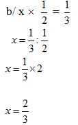
Câu 5: Tìm x (1 điểm)
![]()
Câu 6: (1,5điểm)
Một cửa hàng có 2 tấn đường. Ngày đầu bán được 400 kg. Ngày thứ hai bán được bằng 3/5 số đường bán được trong ngày đầu. Hỏi cửa hàng còn lại bao nhiêu ki-lô-gam đường?
Câu 7: (1,5 điểm)
Người ta trồng ngô trên một thửa ruộng hình chữ nhật có chiều rộng 60m, chiều dài bằng 5/3 chiều rộng.
a) Tính diện tích thửa ruộng đó.
b) Biết rằng, trung bình cứ 100 m2 thu hoạch được 30 kg ngô. Hỏi trên cả trửa ruộng đó, người ta thu hoạch được bao nhiêu tạ ngô?
ĐÁP ÁN VÀ BIỂU ĐIỂM
Bài 1: (2 điểm) Đặt tính rồi tính: đúng mỗi ý ghi 0,5 điểm
a) 14 637 + 824 579 b) 837 035 – 34 184 c) 2 067 × 105 d) 13 498 : 32
Câu 2: (0.5 điểm) Viết các số thập phân sau – đúng mỗi ý ghi 0,25 điểm
a) Bốn mươi đơn vị, bảy phần mười được viết là:...............40,7...................
b) Hai mươi lăm đơn vị, năm phần trăm được viết là:.........25,05...................
Câu 3: (1,5 điểm). Em hãy khoanh tròn vào chữ cái đặt trước câu trả lời đúng trong mỗi ý sau:
a) Chữ số 5 trong số thập phân 83,257 có giá trị là:
C. 5/100 (0,25 điểm)
b) Số thích hợp điền vào chỗ chấm 17 tấn 16 kg =............. ...kg là:
C. 17 016 (0,5 điểm)
c) Số thích hợp điền vào chỗ chấm 186 000 000 cm =.................km là:
B. 1 860 (0,25 điểm)
d) Số thích hợp điền vào chỗ chấm 5ha 7 m2 =............... m2 là:
B. 5 000 7 (0,5 điểm)
Câu 4: (1 điểm) Viết số thích hợp vào chỗ chấm
Đúng mỗi ý ghi 0,25 điểm
a/ 5m 35cm =...5,35 m b/ ha =...2500............m2
c/ 3,2 tấn =...3200......kg d/ 150 phút =...2 giờ...30.....phút
Câu 5: Tìm x (1 điểm)
Đúng mỗi ý ghi 0,5 điểm


Câu 6: (1,5điểm)
Giải:
Đổi 2 tấn = 2000kg
Số đường ngày thứ hai bán được là:
400 × = 240 (kg)
Số đường còn lại là:
2000 – (400 + 240) = 1360 (kg) = 13,6 tạ
Đáp số: 13,6 tạ
Câu 7: (1,5 điểm)
Giải:
a) Chiều dài của thửa ruộng đó là:
60 × = 100 (m)
Diện tích thửa ruộng đó là:
60 × 100 = 6000 (m2)
b) 6000 m2 so với 100 m2 thì gấp số lần là:
6000 : 100 = 60 (lần)
Số tạ ngô người ta thu hoạch được trên cả thửa ruộng đó là:
30 × 60 = 1800 (kg) = 18 tạ
Đáp số: a) 6000 m2
b) 18 tạ ngô