Đề thi giữa học kì 2 môn Toán lớp 11 trường THPT Đào Duy Từ, Thanh Hóa năm học 2014 - 2015
Đề thi giữa học kì 2 môn Toán lớp 11
Đề thi giữa học kì 2 môn Toán lớp 11 trường THPT Đào Duy Từ, Thanh Hóa năm học 2014 - 2015 là tài liệu luyện thi học kỳ 2 lớp 11 rất hiệu quả. Đây cũng là tài liệu tham khảo môn Toán giúp các bạn học sinh lớp 11 ôn tập lại kiến thức, đạt điểm cao trong bài thi giữa kì, thi cuối kì. Chúc các bạn học tốt.
Đề thi giữa học kì 2 môn Sinh học lớp 11 trường THPT Đào Duy Từ, Thanh Hóa năm học 2014 - 2015
Đề thi giữa học kì 2 môn Ngữ văn lớp 11 trường THPT Đào Duy Từ, Thanh Hóa năm học 2014 - 2015
Đề thi giữa học kì 2 môn Địa lý lớp 11 trường THPT Đào Duy Từ, Thanh Hóa năm học 2014 - 2015
|
SỞ GD & ĐT THANH HÓA TRƯỜNG THPT ĐÀO DUY TỪ |
ĐỀ KIỂM TRA GIỮA HỌC KÌ II MÔN: TOÁN LỚP 11 |
|
ĐỀ CHÍNH THỨC |
(Thời gian 90 phút không kể thời gian phát đề) Đề thi gồm có: 4 câu, 1 trang |
Câu 1: (2 điểm)
a) Cho dãy (Un) có Un = -5n + 8. Chứng minh rằng (Un) là một cấp số cộng. Tìm U8 và S20
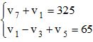
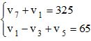
b) Cho cấp số nhân (vn) có công bội q >1 biết:
. Tìm v6, S14.
Câu 2: (3 điểm) Tính các giới hạn sau:

Câu 3: (2 điểm)
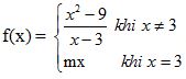
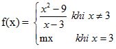
a) Cho hàm số
. Tìm m để hàm số liên tục tại x0 = 3
b) Cho phương trình: ax2 + (2b + c)x + (2d + e) = 0 có một nghiệm không nhỏ hơn 4. Chứng minh rằng phương trình ax4 + bx3 + cx2 + dx + e = 0 có nghiệm thực với ẩn x.
Câu 4: (3 điểm) Cho hình chóp S.ABC có đáy ABC là tam giác vuông tại B, AB = a, BC = 2a. SA = 2a và vuông góc mp(ABC). M là trung điểm đoạn BC
a) Chứng minh tam giác SBC vuông.
b) Tính góc giữa SB và AC
c) Mặt phẳng (P) qua M và song song với (SAC). Tính diện tích thiết diện tạo bởi khi cắt hình chóp S.ABC bởi mặt phẳng (P).
Đáp án đề thi giữa học kì 2 môn Toán lớp 11

