Đề thi giữa học kì 2 môn Toán lớp 9 trường THCS Tam Hưng, Hà Nội năm học 2016 - 2017
Đề thi giữa học kì 2 môn Toán lớp 9
Hãy rèn luyện và tích lũy kinh nghiệm cho kỳ thi giữa học kì 2 bằng việc giải đề thi của các trường khác. Thư viện đề thi VnDoc xin giới thiệu: Đề thi giữa học kì 2 môn Toán lớp 9 trường THCS Tam Hưng, Hà Nội năm học 2016 - 2017. Chúc các em đạt được điểm số cao trong kỳ thi sắp tới.
Đề kiểm tra giữa học kì 2 môn Tin học lớp 9 trường THCS Mộ Đạo, Bắc Ninh năm học 2017 - 2018
Đề thi giữa học kì 2 môn Toán lớp 9 trường THCS Tam Hợp, Vĩnh Phúc năm học 2016 - 2017
Bộ đề thi giữa học kì 2 môn Toán lớp 9
Đề kiểm tra 1 tiết học kì 2 môn Toán lớp 9 trường THCS Bình Châu, Quảng Ngãi năm học 2016 - 2017
| TRƯỜNG THCS TAM HƯNG | ĐỀ KHẢO SÁT CHẤT LƯỢNG GIỮA KÌ 2 NĂM HỌC 2016 - 2017 Môn: TOÁN 9 Thời gian: 90 phút |
Câu I. (2,0 điểm)
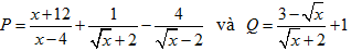
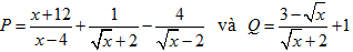
Cho hai biểu thức
với x ≥ 0, x ≠ 4
a. Tính giá trị của biểu thức Q khi x = 16
b. Rút gọn biểu thức P.
![]()
Câu II (2,0 điểm)
Giải phương trình và hệ phương trình sau:
a. x2 - 3x - 7 = 0
b. 4x2 - 12 + 9 = 0
c. 2x2 - 5x + 7 = 0

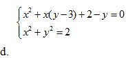
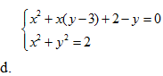
Câu III: (1,0 điểm)
Cho Parabol (P) y = -2x2
a. Tìm k để đường thẳng (d) y = kx +2 tiếp xúc (P).
b. Chứng minh điểm E(m; m2 + 1) không thuộc P với mọi giá trị của m.
Câu IV. (1,5 điểm)
Giải bài toán bằng cách lập hệ phương trình.
Trong quý I năm 2016, hai đội thuyền đánh cá bắt được tổng cộng 360 tấn cá. Sang quý I năm 2017, đội thứ nhất vượt mức 10% và đội thứ hai vượt mức 8% nên cả hai đội đánh bắt được 393 tấn. Hỏi quý I mỗi năm mỗi đội đánh bắt được bao nhiêu tấn cá?
Câu V. (3,5 điểm)
Cho đường tròn (O; R) đường kính AB. Kẻ tiếp tuyến Ax với đường tròn. Trên Ax lấy điểm K (AK ≥ R). Qua K kẻ tiếp tuyến KM tới đường tròn (O). Đường thẳng d vuông góc AB tại O, d cắt MB tại E.
a. Chứng minh KAOM là tứ giác nội tiếp.
b. OK cắt AM tại I, chứng minh OI.OK = OA2
c. Gọi H là trực tâm tam giác KMA. Tìm quỹ tích điểm H khi K chuyến động trên tia Ax
Đáp án đề thi giữa học kì 2 môn Toán lớp 9


