Đề thi giữa kì 1 môn Toán lớp 9 trường THCS Kim Xá năm 2015 - 2016
Đề thi giữa kì 1 môn Toán lớp 9
Đề kiểm tra giữa học kì 1 môn Toán học lớp 9 năm học 2015 - 2016 trường THCS Kim Xá là đề thi học kì I lớp 9 dành cho các bạn học sinh tham khảo nhằm củng cố kiến thức. Đề thi môn Toán học có đáp án đi kèm, thuận tiện hơn khi luyện tập và kiểm tra kết quả. Chúc các bạn học tốt.
Đề kiểm tra chất lượng giữa học kì I môn Toán lớp 9 huyện Bình Giang năm 2014 - 2015
Đề kiểm tra giữa kì I môn Ngữ Văn lớp 9 phòng GD&ĐT Việt Yên năm 2015 - 2016
ĐỀ THI GIỮA HỌC KÌ I
NĂM HỌC 2015 – 2016
MÔN: TOÁN LỚP 9
Thời gian làm bài: 60 phút
ĐỀ BÀI:
Bài 1: (1đ) Tìm điều kiện của x để các căn thức sau có nghĩa.

Bài 2: (3đ) Rút gọn biểu thức:

Bài 3: (1đ) Giải phương trình
![]()
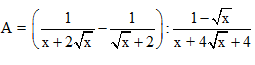
Bài 4: (2đ): Cho biểu thức

(với x > 0 ; x # 1)
a) Rút gọn A
b) Tìm x để A = 5/3
Bài 5 (3đ): Cho tam giác ABC vuông tại A có đường cao AH. Độ dài BH = 4 cm và HC = 6 cm.
a) Tính độ dài các đoạn AH, AB, AC.
b) Gọi M là trung điểm của AC. Tính số đo góc AMB (làm tròn đến độ).
c) Kẻ AK vuông góc với BM (K ∈ BM). Chứng minh: ΔBKC đồng dạng với ΔBHM.
Đáp án đề thi giữa kì 1 lớp 9 môn Toán
