Đề thi học kì 1 lớp 12 môn Toán năm 2018 - 2019 Sở GD&ĐT Bình Phước
Đề kiểm tra học kì 1 môn Toán lớp 12
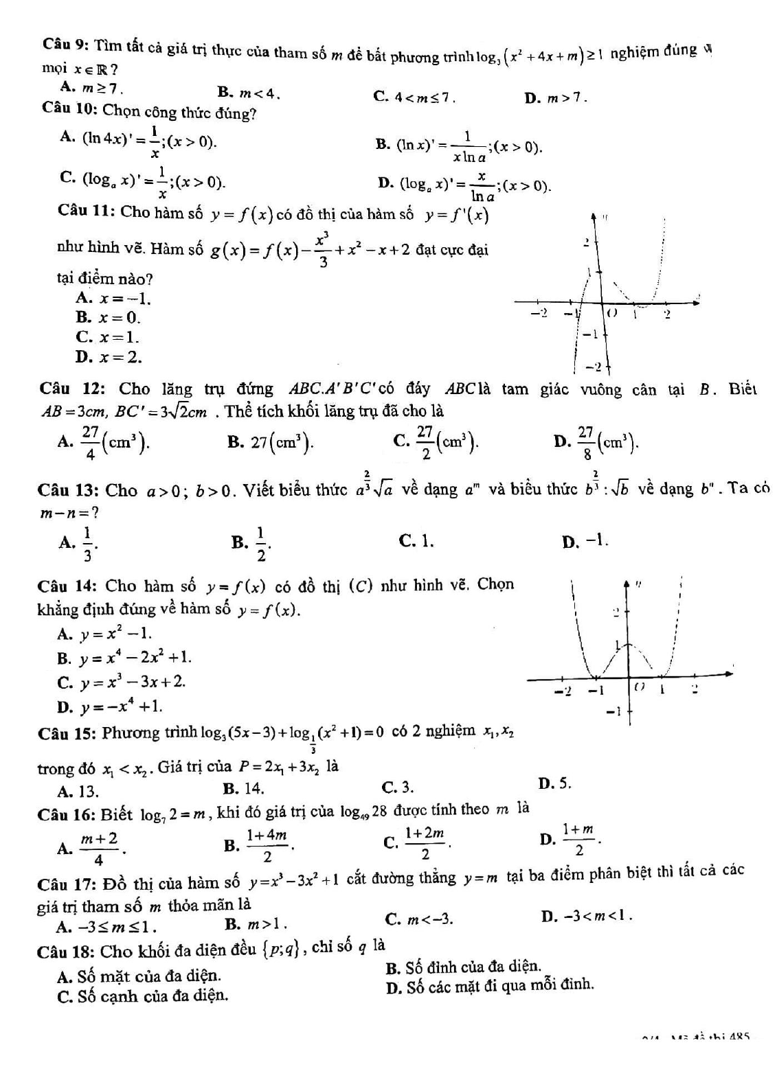
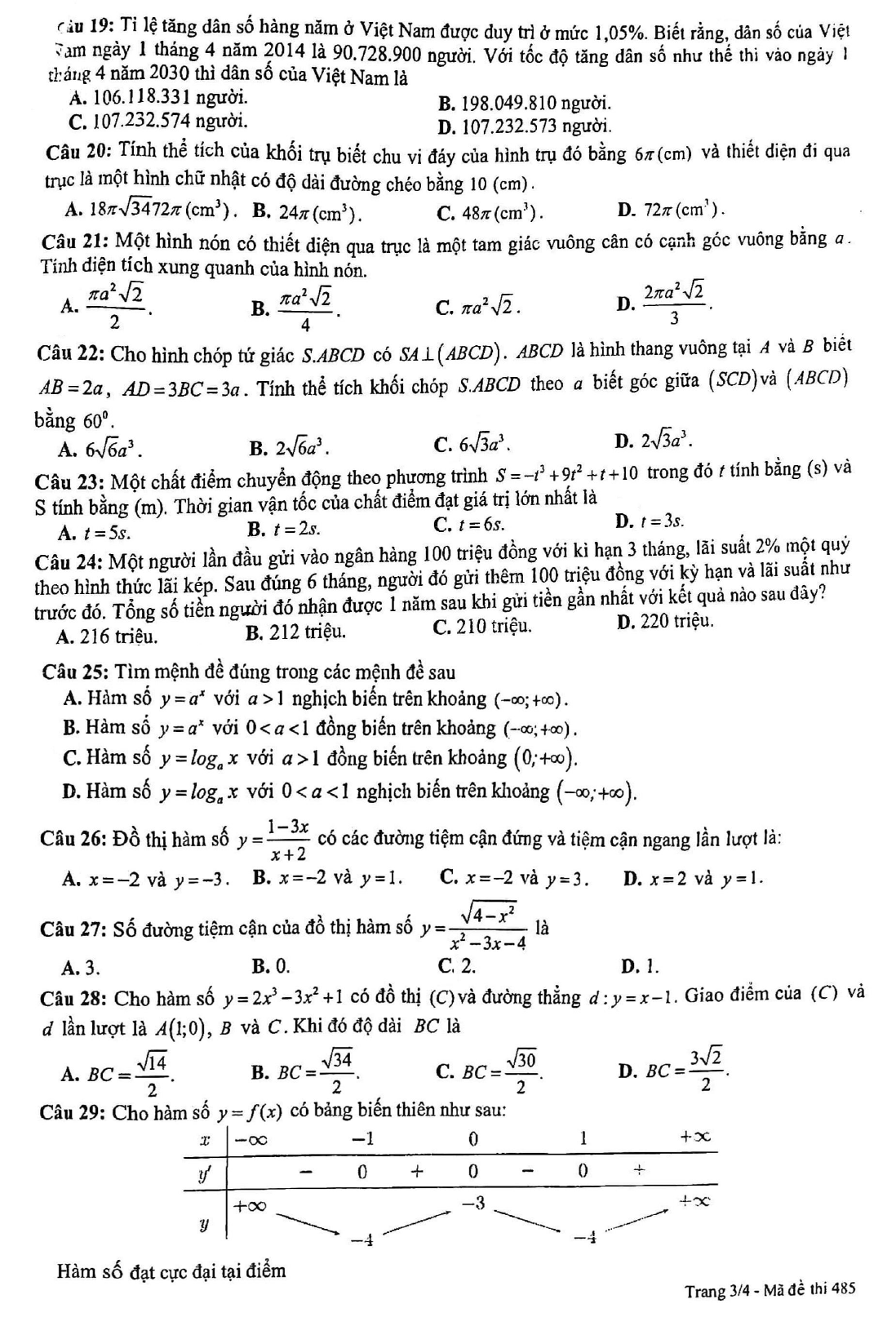
VnDoc xin giới thiệu tới bạn đọc Đề thi học kì 1 lớp 12 môn Toán năm 2018 - 2019 Sở GD&ĐT Bình Phước. Đề được biên soạn theo hình thức trắc nghiệm khách quan với 50 câu hỏi và bài toán, yêu cầu học sinh làm bài trong 90 phút, đề thi có đáp án. Mời các bạn tham khảo.
- Bộ đề thi học kì 1 lớp 12 môn Toán năm 2018 - 2019
- Bộ đề thi học kì 1 lớp 12 môn Ngữ văn năm 2018 - 2019
- Bộ đề thi học kì 1 lớp 12 môn Toán năm 2018 - 2019 (Số 1)
- Đề thi học kì 1 lớp 12 môn Toán năm 2018 - 2019 trường THPT Chu Văn An - Hà Nội
---------------------------
Trên đây VnDoc đã giới thiệu tới các bạn Đề thi học kì 1 lớp 12 môn Toán năm 2018 - 2019 Sở GD&ĐT Bình Phước. Để có kết quả cao hơn trong học tập, VnDoc xin giới thiệu tới các bạn học sinh tài liệu Giải bài tập Toán lớp 12, Giải bài tập Hóa học lớp 12, Giải bài tập Vật Lí 12, Tài liệu học tập lớp 12 mà VnDoc tổng hợp và đăng tải.


