Đề thi học kì 1 lớp 6 môn Toán Phòng GD&ĐT Long Khánh năm 2019 - 2020
Đề thi học kì 1 lớp 6 môn Toán
Đề thi học kì 1 lớp 6 môn Toán Phòng GD&ĐT Long Khánh năm 2019 - 2020 giúp các bạn học sinh nắm được cấu trúc đề thi nhằm củng cố lại kiến thức, nâng cao kỹ năng giải đề, biết cách phân bổ thời gian hợp lý khi làm bài để đạt được kết quả học tập cao, chuẩn bị cho bài thi học kì 1 lớp 6 đạt kết quả cao. Mời các em học sinh tham khảo chi tiết.
Đề thi học kì 1 môn Toán lớp 6
Câu 1. (2,0 điểm)
1) Cho tập hợp Viết tập hợp A
bằng cách liệt kê các phần tử.
2) Tìm ƯCLN của 18 và 24.
3) Sắp xếp các số nguyên sau theo thứ tự tăng dần: .![]()
Câu 2. (2,0 điểm)
Thực hiện phép tính sau:

Câu 3. (1,25 điểm)
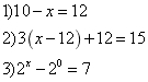
Tìm các số nguyên x biết:

Câu 4. (1,25 điểm)
Một rổ táo có khoảng 120 quả đến 200 quả. Nếu xếp số táo đó trên vào mỗi đĩa 7 quả, 10 quả hay 14 quả đều vừa đủ không thừa quả nào. Hỏi trong rổ có bao nhiêu quả táo?
Câu 5. (2,5 điểm)
Cho đoạn thẳng AB = 6cm. Lấy điểm M thuộc đoạn thẳng AB sao cho AM = 2cm.
1) Tính độ dài đoạn thẳng MB.
2) Lấy điểm H là trung điểm của đoạn thẳng MB. Hỏi điểm M có là trung điểm của đoạn thẳng AH không? Vì sao?
Câu 6. (0,5 điểm)
Cho
là số có sáu chữ số. Chứng tỏ rằng
là bội của 3.
Đề thi học kì 1 môn Toán lớp 6 Phòng GD&ĐT Long Khánh năm học 2019 - 2020 mới nhất bao gồm 6 câu hỏi Tự luận có đáp án chi tiết cho từng bài tập cho các em học sinh tham khảo, hệ thống toàn bộ chương trình học môn Toán lớp 6. Đề thi giúp các thầy cô tham khảo vận dụng ra đề thi học kì cho các em học sinh.
Ngoài ra, các em học sinh tham khảo các bài giải SGK môn Toán lớp 6, Môn Ngữ văn 6, Môn Vật lý 6, môn Sinh Học 6, Môn Địa lý, Môn Lịch sử ....và các đề thi học kì 1 lớp 6 để chuẩn bị cho các bài thi đề thi học kì 1 đạt kết quả cao.