Đề thi học kì 1 môn Toán lớp 10 Sở GD&ĐT Nam Định năm học 2016 - 2017
Đề thi học kì 1 môn Toán lớp 10
Đề thi học kì 1 môn Toán lớp 10 Sở GD&ĐT Nam Định năm học 2016 - 2017 có đáp án là tài liệu học tập hay dành cho các bạn học sinh lớp 10 tham khảo nhằm củng cố kiến thức, học tốt môn Toán 10, ôn thi học kì I hiệu quả.
Đề thi học kì 1 môn Toán lớp 10 Sở GD&ĐT Vĩnh Phúc năm học 2016 - 2017
Đề thi học kì 1 môn Toán lớp 10 trường THPT Nguyễn Du, TP Hồ Chí Minh năm học 2016 - 2017
|
SỞ GIÁO DỤC VÀ ĐÀO TẠO NAM ĐỊNH
ĐỀ CHÍNH THỨC |
ĐỀ KHẢO SÁT CHẤT LƯỢNG HỌC KỲ I NĂM HỌC 2016 – 2017 Môn: Toán – lớp 10 (Thời gian làm bài: 90 phút) Đề thi gồm 01 trang |
Câu 1 (2,0 điểm)
a) Tìm tập xác định của hàm số
.
b) Xác định các số thực a, b, c biết parabol y = ax2 + bx + c có đỉnh I(1; 1) và đi qua điểm A(0; 2).
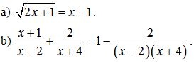
Câu 2 (2,5 điểm)
Giải các phương trình sau:

Câu 3 (1,0 điểm)
Cho phương trình (x + 1)[x2 - 2(m - 2)x - 2m] = 0. Xác định tham số m để phương trình có ba nghiệm âm phân biệt x1, x2, x3 thỏa mãn x12 + x22 + x32 = 33.
Câu 4 (3,5 điểm)
Trong mặt phẳng tọa độ Oxy, cho hình vuông ABCD. Biết đỉnh A(1; 2), B(2; -2) và đỉnh C có hoành độ dương.
a) Xét sự thẳng hàng của ba điểm A, B và M(4; -10).
b) Tính
và
.
c) Tìm tọa độ của các đỉnh C và D.
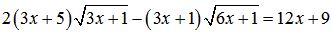
Câu 5 (1,0 điểm)
Giải phương trình sau: ![]()
Đáp án đề thi học kì 1 môn Toán lớp 10


