Đề thi học kì 1 môn Toán lớp 10 Sở GD&ĐT Vĩnh Phúc năm học 2016 - 2017
Đề thi học kì 1 môn Toán lớp 10
Đề thi học kì 1 môn Toán lớp 10 Sở GD&ĐT Vĩnh Phúc năm học 2016 - 2017 là đề kiểm tra nhằm đánh giá năng lực học tập của học sinh trong học kì 1. Nội dung đề thi bám sát kiến thức trong SGK môn Toán lớp 6 học kì 1. Mời các bạn tham khảo.
Đề thi học kì 1 môn Toán lớp 10 trường THPT Đa Phúc, Hà Nội năm học 2016 - 2017
Đề thi học kỳ 1 môn Tiếng Anh lớp 10 Sở GD-ĐT Vĩnh Phúc năm học 2016 - 2017 có đáp án
|
SỞ GD&ĐT VĨNH PHÚC
|
ĐỀ KIỂM TRA HỌC KÌ I NĂM HỌC 2016-2017 MÔN: TOÁN – LỚP 10 Thời gian làm bài: 90 phút, không kể thời gian giao đề. |
I. PHẦN TRẮC NGHIỆM (2,0 điểm)
Câu 1. Trong các câu sau, câu nào là mệnh đề?
A. Hôm nay học sinh khối 10 đi học đúng giờ. B. Tiết trời mùa thu thật dễ chịu!
C. Số 15 không chia hết cho 2. D. Bạn có đi học không?
Câu 2. Cho hình chữ nhật ABCD. Trong các đẳng thức dưới đây, đẳng thức nào đúng?
![]()
Câu 3. Cho tập hợp A = {x ∈ R | 1 < x ≤ 2}, cách viết nào sau đây là đúng?
A. A = [1; 2). B. A= [1; 2]. C. A = (1; 2). D. A = (1; 2].
Câu 4. Phát biểu nào sau đây là sai?
A. Hai vectơ cùng hướng thì cùng phương. B. Hai vectơ cùng phương thì cùng hướng.
C. Độ dài của vectơ là khoảng cách giữa điểm đầu và điểm cuối. D. Vectơ là đoạn thẳng có hướng.
Câu 5. Nghiệm của hệ phương trình
là
A. (x; y) = (2; 3). B. (x; y) = (1; 0). C. (x; y) = (-1; 0). D. (x; y) = (-2; 3).
Câu 6. Cho
có toạ độ là
![]()
Câu 7. Giải bất phương trình 1 - 2x > 0 ta được tập nghiệm
![]()
Câu 8. Cho phương trình
(x là ẩn, m là tham số). Phương trình đã cho có nhiều nhất bao nhiêu nghiệm x?
A. 4. B. 3. C. 2. D. 1.
II. PHẦN TỰ LUẬN (8,0 điểm)
Câu 9 (1,0 điểm). Cho hai tập hợp A = (-3;2] và B = (-1; +∞). Tìm các tập hợp A ∩ B và B\A.
Câu 10 (2,0 điểm). Cho hàm số bậc hai có phương trình y = -x2 + 2x + 3, gọi đồ thị của hàm số là (P).
a) Lập bảng biến thiên và vẽ đồ thị (P) của hàm số đã cho.
b) Tìm tọa độ giao điểm của đồ thị (P) với đường thẳng Δ có phương trình y = -2x + 1.
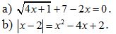
Câu 11 (2,0 điểm). Giải các phương trình sau:
![]()
Câu 12 (2,0 điểm). Trong mặt phẳng Oxy, cho các điểm A(1; 2), B(4; 1), C(4; -5).
a) Chứng minh A, B, C là ba đỉnh của một tam giác. Tìm tọa độ trung điểm cạnh BC và tọa độ trọng tâm G của tam giác ABC.
b) Điểm I thỏa mãn
. Tìm tọa độ điểm I.
c) Xét hình thang ABCD với hai đáy AB và CD thỏa mãn AB = 2CD. Tìm tọa độ đỉnh D.
Câu 13 (1,0 điểm). Tìm tất cả các giá trị của tham số để phương trình
có bốn nghiệm thực phân biệt.
Đáp án đề thi học kì 1 môn Toán lớp 10
I. PHẦN TRẮC NGHIỆM (2,0 điểm): 0,25đ/câu
|
Câu |
1 |
2 |
3 |
4 |
5 |
6 |
7 |
8 |
|
Đáp án |
C |
A |
D |
B |
C |
A |
B |
D |
II. PHẦN TỰ LUẬN (8,0 điểm).

