Đề thi học kì 1 môn Toán lớp 10 trường THPT Nguyễn Du, TP Hồ Chí Minh năm học 2016 - 2017
Đề thi học kì 1 môn Toán lớp 10
Đề thi học kì 1 môn Toán lớp 10 trường THPT Nguyễn Du, TP Hồ Chí Minh năm học 2016 - 2017 gồm 2 mã đề kiểm tra có đáp án đi kèm. Đây sẽ là tài liệu hay giúp các em tự luyện tập và kiểm tra lại kiến thức hiệu quả, từ đó đạt kết quả cao trong bài thi học kì I lớp 10. Mời các em cùng tham khảo.
Đề thi học kì 1 môn Toán lớp 10 Sở GD&ĐT Vĩnh Phúc năm học 2016 - 2017
Đề thi học kì 1 môn Toán lớp 10 trường THPT Đa Phúc, Hà Nội năm học 2016 - 2017
Đề kiểm tra học kì 1 môn Toán lớp 10 năm học 2014 - 2015 trường THPT Châu Thành 1, Đồng Tháp
| SỞ GIÁO DỤC & ĐÀO TẠO TP.HCM TRƯỜNG THPT NGUYỄN DU NĂM HỌC 2016 - 2017 -----o0o----- |
KIỂM TRA HỌC KÌ 1 Môn: Toán - Khối: 10 Thời gian làm bài: 90 phút ĐỀ 1 |
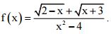
Bài 1: (1.0 điểm) Tìm tập xác định của hàm số ![]()
Bài 2: (1.0 điểm) Viết phương trình của parabol (P): y = ax2 + bx + c biết rằng đồ thị (P) đi qua 3 điểm A(0;3), B(1;6), C(1;-2).
Bài 3: (1.0 điểm) Cho phương trình x2 - 2(m + 1)x + m2 + m = 0, trong đó m là tham số. Xác định giá trị của tham số m để phương trình đã cho có hai nghiệm phân biệt x1, x2 thỏa mãn x1.x2 - 3(x1 + x2) = 0.
Bài 4: (2.0 điểm) Giải các phương trình sau:
![]()
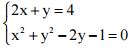
Bài 5: (1.0 điểm) Giải hệ phương trình 
Bài 6: (3.0 điểm) Trong hệ trục tọa độ Oxy cho tam giác ABC có tọa độ các điểm A(1;-1), B(4;3), C(-3;2).
a. Tính độ dài các cạnh và chu vi của tam giác ABC.
b. Chứng minh rằng tam giác ABC vuông cân tại A và tính diện tích tam giác ABC.
c. Tìm tọa độ điểm M nằm trên trục Oy sao cho cosMAB = -3/5.
Bài 7: (1.0 điểm) Mỗi buổi chiều thứ năm hàng tuần, An và Bình tham gia Câu lạc bộ Bóng rổ trường THPT Nguyễn Du để thư giãn và rèn luyện thân thể. Trong trận đấu kỷ niệm ngày thành lập Đoàn, An thực hiện một đường chuyền bóng dài cho Bình, biết rằng quả bóng di chuyển theo một đường parabol như hình vẽ bên dưới. Giả sử rằng trục Ox trùng với mặt đất, quả bóng rời tay An ở vị trí A và Bình bắt được quả bóng ở vị trí B, khi quả bóng di chuyển từ An đến Bình thì đi qua điểm C. Biết rằng OA = BH = 1,8(m), CK = 3,6(m), OK = 2,5(m), OH = 10(m). Xác định khoảng cách lớn nhất của quả bóng so với mặt đất khi An chuyền cho Bình.

Đáp án đề thi học kì 1 môn Toán lớp 10




Mời các bạn tải tài liệu về tham khảo.