Đề thi học kì 1 môn Toán lớp 10 trường THPT Nguyễn Huệ, Quảng Nam năm học 2014 - 2015
Đề thi học kì 1 môn Toán lớp 10
Đề thi học kì 1 môn Toán lớp 10 trường THPT Nguyễn Huệ, Quảng Nam năm học 2014 - 2015 là tài liệu hay để các bạn học sinh tập trung vào ôn tập và củng cố lại kiến thức. Hi vọng với tài liệu này các bạn sẽ đạt được điểm số cao môn Toán. Mời các bạn cùng tham khảo.
Đề cương ôn tập học kì 1 môn Toán lớp 10 trường THPT Đa Phúc, Hà Nội năm học 2016 - 2017
|
SỞ GD&ĐT QUẢNG NAM TRƯỜNG THPT NGUYỄN HUỆ
ĐỀ A |
ĐỀ KIỂM TRA HỌC KỲ 1 Năm học 2014 - 2015 Môn: TOÁN - Lớp: 10 Thời gian làm bài: 90 phút (không kể thời gian giao đề) |
I. PHẦN CHUNG CHO TẤT CẢ HỌC SINH (7,0 điểm)
Câu 1 (1,0 điểm): Cho các tập hợp A = (0; 3), B = (-2; 2].
Hãy xác định các tập hợp sau: A ∪ B, A ∩ B, A \ B, A ∩ Z.
Câu 2 (1,0 điểm): Tìm tập xác định của hàm số
.
Câu 3 (2,0 điểm): Cho hàm số y = x2 - 2x có đồ thị là parabol (P).
1) Vẽ (P).
2) Dựa vào (P), hãy tìm tất cả các giá trị của tham số m để đường thẳng d: y = 3m + 2 cắt (P) tại hai điểm phân biệt.
Câu 4 (3,0 điểm):
1) Cho tam giác ABC. Trên cạnh AC lấy điểm M sao cho MC = 2MA.
Chứng minh rằng
.
2) Trong mặt phẳng tọa độ Oxy cho tam giác ABC có A(2; -2), B(1; 1), C(-2; 0).
a) Tính tích vô hướng
.
b) Tìm tọa độ điểm I là tâm của đường tròn ngoại tiếp tam giác ABC.
II. PHẦN RIÊNG (3,0 điểm)
Học sinh chỉ được chọn làm bài một trong hai phần sau (phần 1 hoặc phần 2)
1. Theo chương trình Cơ bản:
Câu 5a (2,0 điểm):
1) Giải phương trình:
.
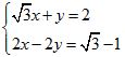
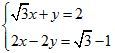
2) Không sử dụng máy tính, hãy giải hệ phương trình:
.
Câu 6a (1,0 điểm): Trong mặt phẳng tọa độ Oxy cho hai điểm B(2; 1), C(1; 2).
Tìm tọa độ điểm A thuộc trục tung sao cho số đo góc C của tam giác ABC bằng 1200.
2. Theo chương trình Nâng cao:
Câu 5b (2,0 điểm):
1) Giải phương trình:
.
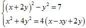
2) Giải hệ phương trình:
.
Câu 6b (1,0 điểm): Trong mặt phẳng tọa độ Oxy cho tam giác ABC có A(2; -1), B(4; 3), C(0; -3). Tìm tọa độ điểm B' đối xứng với điểm B qua đường thẳng AC.
Đáp án đề thi học kì 1 môn Toán lớp 10


