Đề thi học kì 1 môn Toán lớp 11 trường THPT Đa Phúc, Hà Nội năm học 2016 - 2017
Đề thi học kì 1 môn Toán lớp 11
Đề thi học kì 1 môn Toán lớp 11 trường THPT Đa Phúc, Hà Nội năm học 2016 - 2017 được VnDoc.com sưu tầm và đăng tải. Đây là đề kiểm tra học kì I lớp 11 môn Toán, có đáp án chi tiết đi kèm, giúp các bạn học sinh tự ôn tập kiến thức, luyện tập trước khi bước vào bài thi cuối kì I. Mời các bạn tham khảo.
Đề thi học kì 1 môn Hóa học lớp 11 trường THPT Đa Phúc, Hà Nội năm học 2016 - 2017
Đề thi học kì 1 môn Vật lý lớp 11 trường THPT Đa Phúc, Hà Nội năm học 2016 - 2017
|
TRƯỜNG THPT ĐA PHÚC |
ĐỀ KIỂM TRA HỌC KỲ 1 |
|
Năm học 2016-2017 |
Môn: Toán – Lớp 11 |
|
--------š&›--------- |
MÃ ĐỀ 121 |
I. TRẮC NGHIỆM (3,0 điểm)

11. Trong các mệnh đề sau, mệnh đề nào đúng?
A. Hai đường thẳng cùng song song với một mặt phẳng thì song song với nhau.
B. Nếu hai đường thẳng a và b song song với nhau thì đường thẳng a song song với mọi mặt phẳng (P) chứa b.
C. Hai đường thẳng không song song thì cắt nhau.
D. Nếu đường thẳng a song song với mặt phẳng (P) thì nó không cắt bất kì đường thẳng nào nằm trong (P).
12. Cho tứ diện ABCD. Trong các mệnh đề dưới đây, mệnh đề nào sai?
A. AD ∈ (ACD) B. (CAB) ∩ (ABD) = AB
C. Hai đường thẳng AB và CD chéo nhau. D. BC ∩ (ABD) = {B}
II. TỰ LUẬN (7,0 điểm)
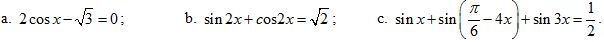
Bài 1: (2,5 điểm). Giải các phương trình sau:
![]()
Bài 2: (2,0 điểm).
a. Tìm hệ số của x4 trong khai triển biểu thức (2x - 3)11.
b. Trong ngày mua sắm "Black Friday'', một cửa hàng đưa ra chương trình khuyến mại giảm giá 25 chiếc áo, 14 chiếc váy, 10 chiếc khăn. Biết rằng mỗi người được mua đúng 5 món đồ trong chương trình khuyến mại. Hỏi có bao nhiêu cách chọn đồ nếu một người mua ít nhất 2 chiếc váy và số áo nhiều hơn số khăn?
Bài 3: (2,5 điểm). Cho hình chóp S.ABCD có đáy ABCD là hình bình hành tâm O. Gọi G là trọng tâm của tam giác SAB, I là trung điểm của cạnh SC.
a. Xác định giao tuyến của hai mặt phẳng (IBD) và (SAC).
b. Chứng minh đường thẳng SA song song với mặt phẳng (IBD).
c. Xác định thiết diện của hình chóp cắt bởi mặt phẳng (P) biết (P) đi qua I, G và song song với SA.
Đáp án đề thi học kì 1 môn Toán lớp 11
I. TRẮC NGHIỆM:
Đáp án mã đề 121
1. B 2. A 3. A 4. A 5. D 6. D
7. A 8. D 9. C 10. A 11. D 12. A
II. TỰ LUẬN:


