Đề thi học kì 1 môn Toán lớp 11 trường THPT Xuân Trường C, Nam Định năm học 2015 - 2016
Đề thi học kì 1 môn Toán lớp 11
Đề thi học kì 1 môn Toán lớp 11 trường THPT Xuân Trường C, Nam Định năm học 2015 - 2016 được VnDoc.com sưu tầm và đăng tải là đề kiểm tra học kì I lớp 11 hay dành cho thầy cô và các bạn học sinh tham khảo, luyện đề. Đây là tài liệu ôn tập hữu ích giúp các học sinh luyện tập và nâng cao kiến thức, ôn thi học kì 1 hiệu quả.
Đề thi học kì 1 môn Toán lớp 11 trường THPT Đa Phúc, Hà Nội năm học 2015 - 2016
SỞ GD-ĐT NAM ĐỊNH
TRƯỜNG THPT XUÂN TRƯỜNG C
ĐỀ THI HỌC KÌ I NĂM HỌC 2015 – 2016
MÔN TOÁN LỚP 11
Thời gian làm bài: 90 phút
(Không kể thời gian phát đề)
ĐỀ BÀI:
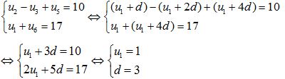
Câu 1. (2,0 điểm) Cho cấp số cộng (un) thỏa mãn: u2 – u3 + u5 = 10 và u1 + u6 = 17.
a. Tìm số hạng đầu tiên và công sai.
b. Tính tổng của 20 số hạng đầu tiên.
Câu 2: (1,0 điểm) Từ các chữ số 1; 2; 3; 6; 7 có thể lập được bao nhiêu số tự nhiên chẵn gồm 3 chữ số khác nhau .
Câu 3: (1,0 điểm) Tìm số hạng chứa x8 trong khai triển: (x + 2)12.
Câu 4: (2,0 điểm) Trong một hộp kín có 12 viên bi đôi một khác nhau, trong đó có 3 viên bi xanh, 4 viên bi đỏ và 5 viên bi vàng.
a. Tính số cách chọn ngẫu nhiên ra 3 viên bi, trong đó có đủ cả 3 màu xanh, đỏ, vàng.
b. Tính xác suất để chọn ngẫu nhiên từ hộp ra 6 viên bi trong đó không có đủ cả 3 màu.
Câu 5: (3,0 điểm) Cho hình chóp S.ABCD đáy ABCD là hình vuông tâm O. Gọi M, N, P lần lượt là trung điểm các cạnh: DC, SC, BC.
a. Tìm giao tuyến của 2 mặt phẳng (SAC) và (SBD).
b. Xác định giao điểm của AN với mặt phẳng (SDB).
c. Chứng minh rằng: SO song song với mp(MNP).
Câu 6: (1 điểm) Có bao nhiêu ước nguyên dương của số 31752000.
Đáp án đề thi học kì 1 môn Toán lớp 11
Câu 1. (2,0 điểm)
a, Gọi d là công sai của cấp số cộng (un), ta có:

b, Ta có:
![]()
Câu 2: (1,0 điểm) Từ các chữ số 1; 2; 3; 6; 7 có thể lập được 2.4.3 = 24 số tự nhiên chẵn gồm 3 chữ số khác nhau.
Câu 3: (1,0 điểm)
Viết được số hạng tổng quát là: ![]()
Tìm được k = 4
Tìm được số hạng chứa là: ![]()
Câu 4: (2,0 điểm)
a. Để chọn được ba viên bi có đủ cả 3 màu thì ta phải chọn 1 bi xanh, 1 bi đỏ và 1 bi vàng.
Suy ra số cách chọn là: 3.4.5 = 60 (cách)
b. Số phần tử không gian mẫu:
.
Gọi A là biến cố "Trong 6 viên bi chọn ra không đủ 3 màu"
TH1: Lấy được 6 bi xanh và đỏ. Có số cách lấy là: C67 = 7.
TH2: Lấy được 6 bi xanh và vàng. Có số cách lấy là: C68 = 28.
TH3: Lấy được 6 bi đỏ và vàng. Có số cách lấy là: C69 = 84.
Số kết quả thuận lợi cho biến cố A: n(A) = 7 + 28 + 84 = 119.
Xác suất cần tìm: ![]()
Câu 5: (3,0 điểm)
a. Vẽ được hình:

Tìm được giao tuyến là SO
b. I là giao điểm của SO và AN
CM được giao điểm của AN và (MNP)
c. 
Câu 6: (1 điểm)
CM được 13n - 1 chia hết cho 12 với mọi n ∈ N*.
Có bao nhiêu ước nguyên dương của số 31752000.
Ta có 31752000 = 26.34.53.72
Các ước nguyên dương của 31752000 có dạng: 2a.3b.5c.7d
Chọn a: có 7 cách chọn từ tập A = {0; 1; 2; 3; 4; 5; 6}
Chọn b: có 5 cách chọn từ tập B = {0; 1; 2; 3; 4}
Chọn c: có 4 cách chọn từ tập C = {0; 1; 2; 3}
Chọn d: có 3 cách chọn từ tập D = {0; 1; 2}
Theo quy tắc nhân, có tất cả là 7.5.4.3 = 420 (số)