Đề thi học kì 1 môn Toán lớp 7 tỉnh Bắc Giang năm học 2015 - 2016
Đề thi học kì 1 môn Toán lớp 7 tỉnh Bắc Giang
Đề thi học kì 1 môn Toán lớp 7 tỉnh Bắc Giang năm học 2015 - 2016 gồm 5 câu hỏi có đáp án đi kèm, đây là tài liệu ôn tập môn Toán hữu ích dành cho các bạn học sinh lớp 7, giúp các bạn luyện tập và củng cố kiến thức môn Toán hiệu quả.
Đề thi học kì 1 môn Toán lớp 7 trực tuyến năm 2015 - 2016 Quận Ngô Quyền
Đề thi học kì 1 môn Toán lớp 7 năm 2014 - 2015 online
Đề thi học kì 1 môn Toán lớp 7 huyện Tân Châu, Tây Ninh năm 2015 - 2016
|
SỞ GIÁO DỤC VÀ ĐÀO TẠO BẮC GIANG |
ĐỀ KIỂM TRA CHẤT LƯỢNG HỌC KÌ I NĂM HỌC 2015 - 2016 MÔN: TOÁN LỚP 7 Thời gian làm bài: 90 phút |
Câu 1 (2,0 điểm)
1) Thực hiện phép tính:
![]()
2) Tính nhanh: B = 45.255
Câu 2 (3,0 điểm)
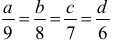
1) Lập tất cả các tỉ lệ thức có thể được từ đẳng thức: 12.20 = 15.16
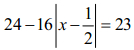
2) Tìm số thực biết:

3) Cho hàm số y = f(x) = x2 - 2. Tính f(-1/2)
Câu 3 (1,5 điểm)
Một trường Trung học cơ sở có số học sinh của từng khối lớp 6, lớp 7, lớp 8 và lớp 9 thứ tự tỉ lệ với 9, 8, 7 và 6. Biết rằng tổng số học sinh toàn trường là 360 học sinh. Tìm số học sinh của mỗi khối lớp.
Câu 4 (3,0 điểm)
Cho tam giác ABC, có M là trung điểm của cạnh AB và N là trung điểm của cạnh AC. Trên tia đối của tia NM lấy điểm G sao cho NM = NG. Chứng minh rằng:
1) ΔAMN = ΔCGN
2) MB //GC
3) MN = (1/2)BC
Câu 5 (0,5 điểm)
Cho ba số thực và thỏa mãn:
![]()
Chứng minh rằng: 4(a - b)(b - c) = (c - a)2
Đáp án đề thi học kì 1 môn Toán lớp 7
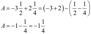
Câu 1:
Phần 1:

Phần 2:

Câu 2:
Phần 1:

Phần 2:

Phần 3:

Câu 3:
Gọi số học sinh của mỗi khối 6, 7, 8, 9 lần lượt là a, b, c, d (a, b, c, d nguyên dương, nhỏ hơn 360)
Vì tổng số học sinh toàn trường là 360 em nên ta có a + b + c + d = 360
Số học sinh từng khối lớp thứ tự tỉ lệ với 9, 8, 7 và 6 nên ta có:
![]()
Áp dụng tính chất dãy tỉ số bằng nhau ta có

Vậy số học sinh của mỗi khối 6, 7, 8, 9 lần lượt là 108; 96; 84; 72
Câu 4:

Câu 5
