Đề thi học kì 2 môn Toán lớp 10 trường THPT Marie Curie năm học 2015 - 2016
Đề kiểm tra học kì II môn Toán lớp 10 năm 2016
Lớp:
Lớp 10
Môn:
Toán
Dạng tài liệu:
Đề thi
Bộ sách:
Kết nối tri thức với cuộc sống
Thời gian:
Học kì 2
Loại File:
PDF
Phân loại:
Tài liệu Tính phí
Đề thi học kì 2 môn Toán lớp 10
Nhăm giúp các bạn ôn tập và củng cố kiến thức để chuẩn bị sẵn sàng cho bài kiểm tra học kì 2, VnDoc.com xin giới thiệu: Đề thi học kì 2 môn Toán lớp 10 trường THPT Marie Curie năm học 2015 - 2016. Đề kiểm tra môn Toán có gợi ý đáp án đi kèm sẽ giúp các bạn chủ động và linh hoạt hơn khi luyện đề. Chúc các bạn học tốt.
Đề kiểm tra học kì II môn Toán lớp 10 Trường THPT chuyên Hà Nội Amsterdam
Đề thi học kì 2 môn Toán lớp 10 trường THPT Nguyễn Chí Thanh, TP. Hồ Chí Minh năm học 2015 - 2016

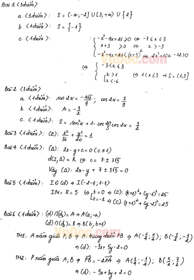
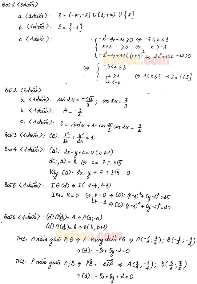
Đáp án đề thi học kì 2 môn Toán lớp 10
