Đề thi học kì 2 môn Toán lớp 10 trường THPT Trần Hưng Đạo, TP Hồ Chí Minh năm học 2015 - 2016
Đề thi học kì 2 môn Toán lớp 10
Đề thi học kì 2 môn Toán lớp 10 trường THPT Trần Hưng Đạo, TP Hồ Chí Minh năm học 2015 - 2016 là đề kiểm tra học kì II môn Toán lớp 10 có đáp án đi kèm được VnDoc.com sưu tầm và đăng tải. Đây là tài liệu học tập hay giúp các bạn củng cố kiến thức, ôn thi cuối năm hiệu quả. Mời các bạn cùng tham khảo.
Đề thi giữa học kì 2 môn Toán lớp 10 trường THPT Hiệp Bình, Hồ Chí Minh năm 2014 - 2015
Đề thi học kì 2 môn Toán lớp 10 trường THPT Nguyễn Chí Thanh, TP. Hồ Chí Minh năm học 2015 - 2016
|
SỞ GD & ĐT TP. HỒ CHÍ MINH TRƯỜNG THPT TRẦN HƯNG ĐẠO |
ĐỀ THI HỌC KỲ II MÔN TOÁN _ KHỐI 10 Ngày thi: 4/5/2016 Thời gian làm bài: 90 phút |
A. ĐẠI SỐ (6 điểm)
Bài 1: (1 điểm) Cho phương trình (m - 1)x2 - 2(m + 2)x + 3m - 4 = 0 (m là tham số). Tìm m để phương trình trên có nghiệm kép. Tìm nghiệm kép đó.
Bài 2: (2 điểm) Giải các bất phương trình sau:
![]()
Bài 3: (1 điểm) Cho
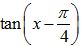
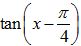
. Tính cos2x; tanx;
.
Bài 4: (1 điểm) Chứng minh đẳng thức: ![]()
Bài 5: (1 điểm) Giải bất phương trình sau: ![]()
B. HÌNH HỌC (4 điểm)
Bài 6: (1 điểm) Trong mặt phẳng tọa độ Oxy, cho 3 điểm A(-1; 2), B(2; -4), C(1; 0). Viết phương trình tổng quát của đường trung tuyến AM của tam giác ABC.
Bài 7: (1 điểm) Viết phương trình đường tròn (C) biết (C) qua 2 điểm A(1; 4), B(-7; 4) và có tâm nằm trên đường thẳng (d): 2x - 3y - 1 = 0.
Bài 8: (1 điểm) Cho đường tròn (C): x2 + y2 - 4x + 8y - 5 = 0. Lập phương trình tiếp tuyến (Δ) của (C) biết tiếp tuyến (Δ) vuông góc với đường thẳng (d): 3x - 4y + 2016 = 0.
Bài 9: (1 điểm) Lập phương trình chính tắc của elip (E) biết (E) đi qua 2 điểm M(-√2; √2/2) và N(√3; -1/2).
Đáp án đề thi học kì 2 môn Toán lớp 10


