Đề thi học kì 2 môn Toán lớp 12 trường PTDTNT Sơn Động, Bắc Giang năm học 2015 - 2016
Đề thi học kì 2 môn Toán lớp 12
Đề thi học kì 2 môn Toán lớp 12 trường PTDTNT Sơn Động, Bắc Giang năm học 2015 - 2016 là đề kiểm tra học kì II lớp 12 môn Toán có đáp án chi tiết, dành cho các bạn tham khảo, củng cố kiến thức đã học, ôn luyện cho kì thi cuối học kì 2 môn Toán lớp 12. Mời các bạn tham khảo.
Đề kiểm tra học kì II môn Toán lớp 12 - Sở GD và ĐT Đà Nẵng
Đề thi học kì 2 môn Toán lớp 12 trường THPT Ngô Quyền năm học 2014 - 2015
|
SỞ GIÁO DỤC VÀ ĐÀO TẠO BẮC GIANG TRƯỜNG PTDTNT SƠN ĐỘNG
|
ĐỀ KIỂM TRA CHẤT LƯỢNG HỌC KÌ II NĂM HỌC 2015-2016 MÔN: TOÁN LỚP 12 Thời gian làm bài: 90 phút, không kể thời gian giao đề |
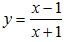
Câu 1. (3,0 điểm) Cho hàm số
có đồ thị (C).
- Khảo sát sự biến thiên và vẽ đồ thị (C) của hàm số.
- Viết phương trình tiếp tuyến của đồ thị (C) tại điểm A(1; 0).
- Tính diện tích hình phẳng giới hạn bởi đồ thị (C), trục hoành và các đường thẳng x = 1, x = 2.
Câu 2. (1,0 điểm) Giải bất phương trình log0,5(x2 - 5x + 6) ≥ 1.
Câu 3. (2,0 điểm)
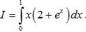
- Tính tích phân

- Cho số phức z thỏa mãn (1 + i)z - 7 + i = 0. Tìm phần thực, phần ảo và môđun của z.
Câu 4. (2,0 điểm) Trong không gian với hệ tọa độ Oxyz, cho các điểm A(2; 2; 1), B(-1; 2; 5) và mặt cầu (S) có phương trình (x - 1)2 + (y + 1)2 + (z - 3)2 = 25.
- Viết trình tham số của đường thẳng AB. Tìm tọa độ tâm và bán tính kính của mặt cầu (S).
- Viết phương trình mặt phẳng (α) vuông góc với đường thẳng AB và tiếp xúc với mặt cầu (S).
Câu 5. (1,0 điểm) Cho lăng trụ đứng ABC.A'B'C' có đáy ABC là tam giác vuông, AB = BC = a, cạnh bên AA' = a√2. Gọi M là trung điểm của cạnh BC. Tính theo a thể tích khối lăng trụ ABC.A'B'C' và khoảng cách giữa hai đường thẳng AM, B'C.
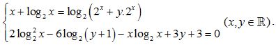
Câu 6. (1,0 điểm) Giải hệ phương trình 
Đáp án đề thi học kì 2 môn Toán lớp 12



