Đề thi học kì 2 môn Toán lớp 12 trường THPT Ngô Quyền năm học 2014 - 2015
Đề thi học kì 2 môn Toán lớp 12
Đề thi học kì 2 môn Toán lớp 12 trường THPT Ngô Quyền năm học 2014 - 2015 là đề kiểm tra học kì II lớp 12 môn Toán có đáp án đi kèm được VnDoc.com sưu tầm và đăng tải. Đây sẽ là tài liệu hữu ích giúp các bạn củng cố lại kiến thức, ôn thi cuối năm môn Toán lớp 12 hiệu quả.
Đề thi học kì 2 môn Toán lớp 12 trường THPT Phan Văn Trị, Cần Thơ năm học 2015 - 2016
|
TRƯỜNG THPT NGÔ QUYỀN ******* ĐỀ CHÍNH THỨC |
KIỂM TRA HỌC KỲ II - NĂM HỌC 2014 – 2015 Môn: Toán 12 - THPT Thời gian làm bài: 90 phút ******** |
Câu I. (4 điểm)
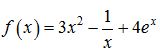
- Tìm nguyên hàm của
biết rằng F(1) = 4e. - Tính các tích phân:
![]()
3) Tính diện tích hình phẳng giới hạn bởi đồ thị các hàm số y = x2 - 5x + 6 và y = -z + 6.
Câu II. (2 điểm)
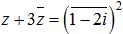
- Tìm phần ảo của số phức z biết
. - Giải phương trình sau đây trên tập số phức: -z2 + 2z - 5 = 0.
Câu III. (2 điểm) Trong không gian với hệ tọa độ Oxyz, cho điểm A(1; 2; -3) và đường thẳng d có phương trình:
- Viết phương trình mặt phẳng (P) đi qua điểm A và vuông góc với đường thẳng d.
- Tìm tọa độ giao điểm B của d và mặt phẳng (Q): z - y + z - 2 = 0. Viết phương trình mặt cầu (S) có tâm A và tiếp xúc với mặt phẳng (Q).
Câu IV. (2 điểm)
- Trong các số phức z thỏa mãn điều kiện |z - 3 - 6i| = |z - 3i|. Tìm số phức z có môđun nhỏ nhất.
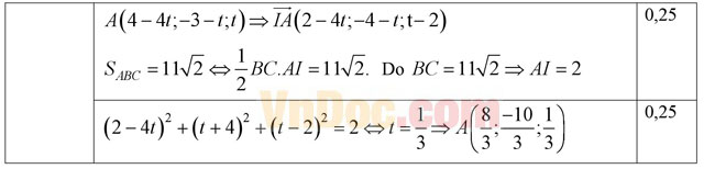
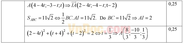
- Trong không gian với hệ tọa độ Oxyz, cho điểm B(1; 2; -1), C(3; 0; 5). Tìm tọa độ điểm A thuộc mặt phẳng (P): -x + 2y - 2z + 10 = 0 sao cho tam giác ABC cân tại A và có diện tích bằng 11√2.
Đáp án đề thi học kì 2 môn Toán lớp 12




