Đề thi học kì 2 môn Toán lớp 12 trường THPT Phan Văn Trị, Cần Thơ năm học 2015 - 2016
Đề thi học kì 2 môn Toán lớp 12
Đề thi học kì 2 môn Toán lớp 12 trường THPT Phan Văn Trị, Cần Thơ năm học 2015 - 2016 là đề kiểm tra học kì II lớp 12 môn Toán dành cho các em học sinh lớp 12 ôn tập, củng cố kiến thức, chuẩn bị sẵn sàng cho bài thi cuối năm lớp 12, cũng như ôn thi THPT Quốc gia môn Toán hiệu quả.
Đề thi học kì 2 môn Ngữ văn lớp 12 trường THPT Phan Văn Trị, Cần Thơ năm học 2015 - 2016
Đề thi học kì 2 môn Toán lớp 12 trường THPT Lương Ngọc Quyến, Thái Nguyên năm 2014 - 2015
| SỞ GIÁO DỤC VÀ ĐÀO TẠO THÀNH PHỐ CẦN THƠ ĐỀ CHÍNH THỨC (Đề có 01 trang) |
ĐỀ KIỂM TRA HỌC KỲ II NĂM HỌC: 2015-2016 MÔN: TOÁN LỚP 12 – GDTHPT Thời gian làm bài:180 phút, không kể thời gian phát đề |
Câu 1 (1,0 điểm). Khảo sát sự biến thiên và vẽ đồ thị của hàm số y = -x3 + 3x - 2.
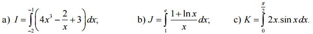
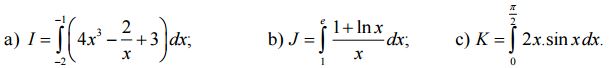
Câu 2 (2,0 điểm). Tính các tích phân sau

Câu 3 (2,75 điểm).
a) Giải phương trình 3z2 - 2z + 5 = 0 trên tập số phức.
b) Tìm phần thực và phần ảo của số phức w = (2 - 3i)(1 + 2i) - (1 + i)2(3 + 4i).
c) Tìm số phức z, biết rằng ![]()
Câu 4 (2,5 điểm). Trong không gian với hệ tọa độ Oxyz, cho các điểm A(1; -2; -1), B(0; 1; -2) và mặt phẳng (P) có phương trình 2x - y + 2z + 7 = 0
a) Viết phương trình tham số của đường thẳng đi qua hai điểm A và B.
b) Viết phương trình mặt cầu có tâm là điểm A và tiếp xúc với mặt phẳng (P).
c) Viết phương trình mặt phẳng đi qua hai điểm A, B và vuông góc với mặt phẳng (P).
Câu 5 (0,5 điểm). Tính diện tích hình phẳng giới hạn bởi các đường y = x3 - 3x2 + 2 và y = 4x + 2.
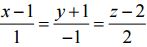
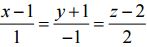
Câu 6 (0,5 điểm). Trong không gian với hệ tọa độ Oxyz, cho hai điểm A(1; -1; 3), B(2; 0; -1) và đường thẳng d có phương trình
. Tìm tọa độ của điểm M trên đường thẳng d sao cho biểu thức P = MA2 + MB2 đạt giá trị nhỏ nhất.
Câu 7 (0,75 điểm). Một chiếc mô tô chuyển động với vận tốc là v(t) (m/s) và có gia tốc là
(trong đó v'(t) là đạo hàm của v(t) theo thời gian t). Vận tốc ban đầu của mô tô là 10 m/s. Tính vận tốc của mô tô sau 15 giây (kết quả lấy 1 chữ số sau phần thập phân).
Đáp án đề thi học kì 2 môn Toán lớp 12



