Đề thi học kì 2 môn Toán lớp 12 trường THPT Lương Ngọc Quyến, Thái Nguyên năm 2014 - 2015
Đề thi học kì 2 môn Toán lớp 12 có đáp án
Đề thi học kì 2 môn Toán lớp 12 trường THPT Lương Ngọc Quyến, Thái Nguyên năm 2014 - 2015 có 5 câu hỏi và đáp án đi kèm. VnDoc.com hy vọng các bạn sẽ luyện tập và nâng cao kiến thức môn Toán học kỳ 2, từ đó chuẩn bị cho kỳ thi cuối năm hiệu quả. Mời các bạn tham khảo.
Đề cương ôn tập giải tích môn Toán lớp 12 học kì 2
|
SỞ GD & ĐT THÁI NGUYÊN TRƯỜNG THPT LƯƠNG NGỌC QUYẾN |
ĐỀ KIỂM TRA HỌC KỲ II NĂM HỌC 2014 - 2015MÔN: TOÁN - LỚP 12 Thời gian làm bài: 90 phút, không kể thời gian giao đề |
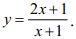
Câu 1 (3,0 điểm). Cho hàm số:
a) Khảo sát sự biến thiên và vẽ đồ thị (C) của hàm số
.
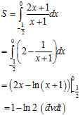
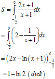
b) Tính diện tích hình phẳng giới hạn bởi đồ thị (C), trục tung và trục hoành.
c) Viết phương trình tiếp tuyến của đồ thị (C), biết tiếp tuyến đó đi qua điểm
Câu 2 (2,0 điểm).

Câu 3 (1,0 điểm).

Câu 4 (1,5 điểm).
Cho hình chóp O.ABC có 3 cạnh OA, OB, OC vuông gócvới nhau đôi một tại O, OB = a, OC = a√3. Góc giữa đường thẳng AC và mặt phẳng (OBC) bằng . Gọi M là trung điểm của cạnh BC. Tính thể tích hình chóp O.ABC và khoảng cách giữa hai đường thẳng chéo nhau AB, OM.
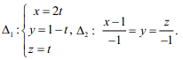
Câu 5 (2,5 điểm). Trong không gian với hệ tọa độ̣ Oxyz, cho mặt cầu (S): x2 + y2 + z2 - 2x + 2y + 4z -3 = 0 và hai đường thẳng

a) Chứng minh Δ1, Δ2 chéo nhau.
b) Viết phương trình mặt phẳng tiếp diện của mặt cầu (S), biết mặt phẳng tiếp diện đó song song với hai đường thẳng Δ1, Δ2.
Đáp án đề thi học kỳ II môn Toán lớp 12
Câu 1.a:

Câu 1.b:

Câu 1.c:

(Còn tiếp)