Đề thi học kì 2 môn Toán lớp 12 trường THPT Phan Chu Trinh, Ninh Thuận năm 2014 - 2015 (Chương trình Chuẩn)
Đề thi học kỳ 2 môn Toán lớp 12 có đáp án
Đề thi học kì 2 môn Toán lớp 12 trường THPT Phan Chu Trinh, Ninh Thuận năm 2014 - 2015 (Chương trình Chuẩn) được VnDoc.com sưu tầm và đăng tải, là tài liệu ôn tập môn Toán hữu ích dành cho các bạn học sinh lớp 12, giúp các bạn củng cố và nâng cao kỹ năng môn Toán hiệu quả, chuẩn bị cho bài thi cuối năm và kì thi THPT Quốc gia 2016 sắp tới. Mời các bạn tham khảo.
Đề thi học kì 2 môn Toán lớp 12 trường THPT Lương Ngọc Quyến, Thái Nguyên năm 2014 - 2015
Đề thi học kì 2 môn Toán lớp 12 tỉnh Quảng Bình năm học 2014 - 2015
|
Trường THPT Phan Chu Trinh Tổ: Toán - Lý - Hóa |
KIỂM TRA HỌC KỲ II Năm học 2014 - 2015Môn: TOÁN 12 (CT Chuẩn) Thời gian: 90 phút |
Câu I: (4,0 điểm)
1. Tìm nguyên hàm F(x) của hàm số:

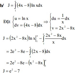
2) Tính các tích phân sau:

Câu II: (1,0 điểm)
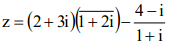
Tìm phần thực, phần ảo và mô đun của số phức z biết:
![]()
Câu III: (2,0 điểm)
Trong hệ Oxyz cho A(-1;1;2), B(0;1;1), C(1;0;4), D(3;-2;1).
1/ Chứng minh tam giác ABC vuông. Viết phương trình tham số đường thẳng AB.
2/ Viết phương trình mặt phẳng (α) qua AB và song song CD.
Câu IV: (2,0 điểm)
1) Giải phương trình trong tập số phức: z2 - 3z + 7 = 0
2) Tính diện tích hình phẳng giới hạn bởi đồ thị (C): y = -x3 + 3x2 - 4 và đường thẳng Δ: y = -z - 1
Câu V: (1,0 điểm)
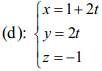
Trong không gian với hệ tọa độ Oxyz, cho đường thẳng

và mặt phẳng (P): 2x + y - 2z - 1 = 0. Viết phương trình mặt cầu có tâm nằm trên (d), bán kính bằng 3 và tiếp xúc với (P).
Đáp án đề thi học kỳ 2 môn Toán lớp 12
Câu I.1:
1/ Tìm nguyên hàm:

2/ Tính tích phân:


(Còn tiếp)