Đề thi học kì 2 môn Toán lớp 12 trường THPT Trần Hưng Đạo, TP Hồ Chí Minh năm học 2015 - 2016
Đề thi học kì 2 môn Toán lớp 12
Đề thi học kì 2 môn Toán lớp 12 trường THPT Trần Hưng Đạo, TP Hồ Chí Minh năm học 2015 - 2016 đã được VnDoc.com sưu tầm và đăng tải. Thông qua việc luyện giải đề thi này, chúng tôi hi vọng các bạn học sinh sẽ nâng cao kĩ năng giải đề thi của mình, học thêm được nhiều kiến thức mới. Chúc các bạn thành công.
Đề thi học kì 2 môn Toán lớp 12 trường THPT Yên Lạc 2, Vĩnh Phúc năm học 2015 - 2016
Đề thi học kì 2 môn Toán lớp 12 trường THPT Đa Phúc, Hà Nội năm học 2015 - 2016
|
SỞ GD & ĐT TP. HỒ CHÍ MINH TRƯỜNG THPT TRẦN HƯNG ĐẠO |
ĐỀ THI HỌC KỲ II MÔN TOÁN - KHỐI 12 Ngày thi: 20/04/2016 Thời gian làm bài: 120 phút |
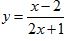
Câu 1: (2 điểm) Cho hàm số
có đồ thị (H)
a) Khảo sát sự biến thiên và vẽ đồ thị (H)
b) Gọi (d) là đường thẳng đi qua A(-2; -2) và có hệ số góc k. Tìm k để (d) cắt (H) tại 2 điểm phân biệt.
Câu 2: (2 điểm)
a) Tính tích phân: 
b) Tính diện tích hình phẳng giới hạn bởi các đường: y = x2 - 2x, x = 1, x = 3 và trục hoành.
Câu 3: (2 điểm)
a) Tìm số phức liên hợp của số phức z thỏa mãn: (1 - i)2z = 3 - 4i + (2 - 3i)z.
b) Cho số phức z thỏa mãn:
. Tính môđun của z.
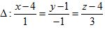
Câu 4: (2 điểm) Trong không gian với hệ tọa độ Oxyz, cho các điểm A(4; 3; 1), B(1; 5; -1) và đường thẳng
.
a) Viết phương trình mặt phẳng (α) đi qua điểm A và vuông góc với đường thẳng Δ. Tìm tọa độ giao điểm của đường thẳng Δ và mặt phẳng (α).
b) Tìm tọa độ hình chiếu của điểm B trên đường thẳng Δ và viết phương trình mặt cầu (S) có tâm B tiếp xúc với đường thẳng Δ.
Câu 5: (2 điểm) Cho hình chóp S.ABC có đáy ABC là tam giác vuông tại B và AB = 2a, AC = 4a. Hình chiếu vuông góc của đỉnh S trên mặt phẳng (ABC) là trung điểm H của đoạn thẳng AC. Cạnh bên SA tạo với mặt đáy một góc 600. Tính theo a thể tích khối chóp S.ABC và khoảng cách giữa hai đường thẳng AB và SC.
Đáp án đề thi học kì 2 môn Toán lớp 12

