Đề thi học kì 2 môn Toán lớp 8 trường THCS Đồng Mai, Hà Nội
Đề thi học kì 2 môn Toán lớp 8
Đề thi học kì 2 môn Toán lớp 8 năm học 2014 - 2015 trường THCS Đồng Mai, Hà Nội là đề kiểm tra học kì II môn Toán lớp 8 có đáp án dành cho các bạn học sinh ôn tập, củng cố kiến thức, rèn luyện kĩ năng làm bài Toán được ngắn gọn và thông minh nhất.
Thư viện đề thi VnDoc đã cập nhật Đề thi học kì 2 lớp 8 môn Toán năm 2019 thành bộ đề. Mời các bạn vào bài Bộ đề thi học kì 2 lớp 8 môn Toán năm học 2018 - 2019 để tải về ôn tập.
Đề thi học kì 2 môn Toán lớp 8 năm học 2014 - 2015 Phòng GD-ĐT Tân Châu, Tây Ninh
Đề thi học kì 2 môn Toán lớp 8 trường THCS Thăng Bình, Bình Dương năm học 2014 - 2015
| PHÒNG GD&ĐT QUẬN HÀ ĐÔNG TRƯỜNG THCS ĐỒNG MAI |
ĐỀ THI HỌC KỲ II Môn: Toán 8 Năm: 2014 - 2015 (Thời gian 90 phút) |
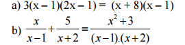
Bài 1 (3 đ): Giải các phương trình

Bài 2 (1đ): Giải các bất phương trình và biểu diễn tập nghiệm trên trục số
![]()
Bài 3 (2đ): Giải bài toán bằng cách lập phương trình.
Một tổ sản xuất theo kế hoạch mỗi ngày phải sản xuất 50 sản phẩm. Khi thực hiện tổ đã sản xuất được 57 sản phẩm một ngày. Do đó đã hoàn thành trước kế hoạch 1 ngày và còn vượt mức 13 sản phẩm. Hỏi theo kế hoạch tổ phải sản xuất bao nhiêu sản phẩm?
Bài 4 (3đ): Cho tam giác ABC vuông tại A có AB = 6cm, AC= 8cm. Kẻ đường cao AH.
a) Chứng minh: ABC HBA
b) Tính độ dài các cạnh BC, AH.
c) P/giác của góc ACB cắt AH tại E, cắt AB tại D. Tính tỉ số diện tích của hai tam giác ACD và HCE
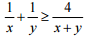
Bài 5 (1đ): Cho x > 0; y > 0 thoả mãn x + y 1
Chứng minh rằng: ![]()
Đáp án đề thi học kì 2 môn Toán lớp 8


