Đề thi học kì 2 môn Vật lý lớp 10 trường THPT Phong Điền, Thừa Thiên Huế năm 2014 - 2015
Đề thi học kỳ 2 môn Vật lý lớp 10 có đáp án
Đề thi học kỳ 2 môn Vật lý lớp 10 trường THPT Phong Điền, Thừa Thiên Huế năm 2014 - 2015 gồm 6 câu hỏi tự luận có đáp án đi kèm, là tài liệu ôn tập môn Lý hữu ích dành cho các bạn học sinh lớp 10, giúp các bạn củng cố và phát triển kiến thức môn Lý hiệu quả, từ đó chuẩn bị tốt nhất cho kì thi cuối năm sắp tới.
Đề thi học kì 2 môn Vật lý lớp 10 trường THPT Ngọc Tảo, Hà Nội năm học 2014 - 2015
Đề thi học kì 2 môn Vật lý lớp 10 trường THPT Phan Ngọc Hiển, Cà Mau năm 2015
Đề thi học kì 2 môn Vật lý lớp 10 trường THPT Đa Phúc, Hà Nội năm 2015
|
SỞ GD&ĐT THỪA THIÊN HUẾ TRƯỜNG THPT PHONG ĐIỀN ĐỀ CHÍNH THỨC |
KIỂM TRA HỌC KÌ II - NĂM HỌC 2014 - 2015 Môn: Vật lí – LỚP: 10 Thời gian làm bài: 45 phút (Không kể thời gian phát đề) |
Câu 1: (1,5đ)
Thế nào là quá trình đẳng nhiệt? Phát biểu và viết hệ thức của định luật Bôilơ-Mariốt?
Câu 2: (1,5đ)
Phát biểu định nghĩa nội năng? Nội năng của một lượng khí lí tưởng có phụ thuộc vào thể tích không? Tại sao?
Câu 3: (1,0đ)
Viết công thức xác định qui luật phụ thuộc nhiệt độ của độ dài và thể tích của vật rắn?
Câu 4: (2,0đ)
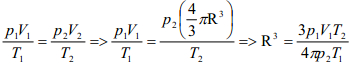
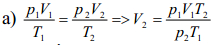
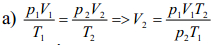
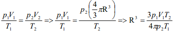
Một quả bóng hình cầu có thể tích 500 lít khi bơm không khí có áp suất 0,4atm và nhiệt độ 37oC vào bóng.
a. Tính thể tích của quả bóng khi bơm khí có áp suất 2atm và nhiệt độ 57oC vào bóng.
b. Tính bán kính của bóng khi bơm khí áp suất 1atm, nhiệt độ 27oC vào bóng.
Câu 5: (1,5đ)
Một vật được kéo thẳng đều trên mặt phẳng ngang với vận tốc 3,6km/h với một lực F = 300N, lực hợp với phương ngang một góc 600. Tính:
a. Công của lực kéo và lực ma sát trong thời gian 0,5 phút.
b. Công suất của lực kéo và lực ma sát trong thời gian 0,5 phút.
Câu 6: (2,5đ)
Một vật khối lượng 500g trượt không vận tốc đầu từ đỉnh của một mặt phẳng nghiêng AB dài 10m, nghiêng một góc 30o so với mặt phẳng ngang. Lấy g = 10m/s2.
a. Tính cơ năng của vật tại đỉnh mặt phẳng nghiêng.
b. Bỏ qua ma sát. Tính vận tốc của vật tại chân mặt phẳng nghiêng.
c. Hệ số ma sát là 0,02. Tính công của lực ma sát trong quá trình vật chuyển động trên mặt phẳng nghiêng.
Đề thi học kỳ II môn Vật lý lớp 10
Câu 1:
- Phát biểu được đinh nghĩa quá trình đẳng nhiệt
- Phát biểu được định luật Bôi-lơ-Ma-ri-ốt
- Viết biểu được thức định luật Bôi-lơ-Ma-ri-ốt
Câu 2:
- Phát biểu được định nghĩa nội năng
- Nội năng của khí lí tưởng không phụ thuộc vào thể tích
- Giải thích được
Câu 3:
- Viết được biểu thức độ độ dài của vật rắn
- Viết được biểu thức độ độ khối của vật rắn
Câu 4:
![]()
Thay số: V2 = 106,45 lít
b) Đổi 500 lít = 0.5m3

Thay số: R = 0,36m
3,6 km/h = 1 m/s
a) Tính s = v.t = 30 (m)
AF = F.s.cos = 300.30.cos60 = 4500(J)
AFms = -AF = -4500(J)
(Còn tiếp)