Đề thi học sinh giỏi cấp tỉnh môn Toán lớp 12 năm học 2019 - 2020 Sở GD&ĐT Quảng Ninh
Đề thi học sinh giỏi cấp tỉnh môn Toán lớp 12 năm 2020 Sở GD&ĐT Quảng Ninh
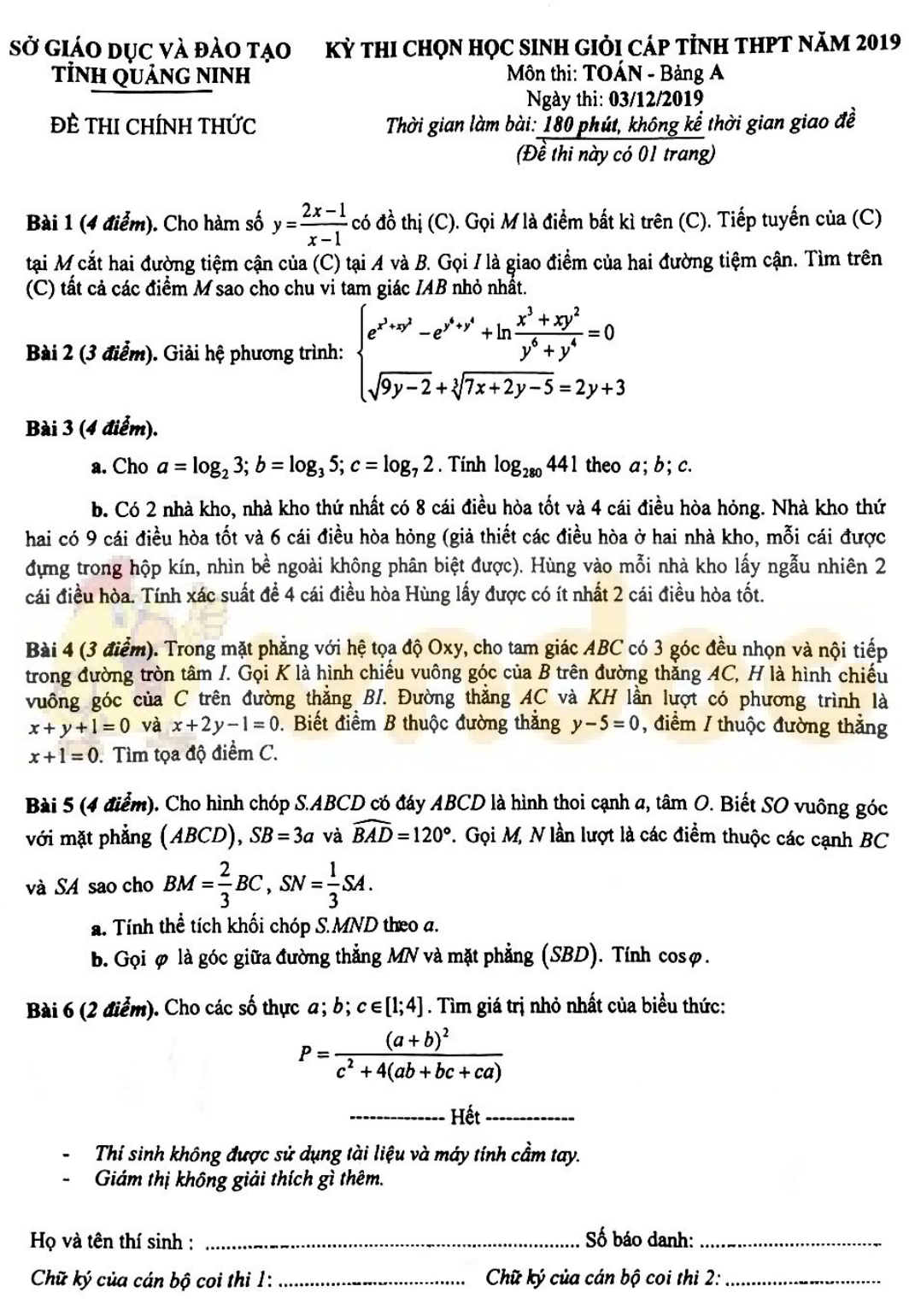
VnDoc.com xin gửi tới bạn đọc bài viết Đề thi học sinh giỏi cấp tỉnh môn Toán lớp 12 năm học 2019 - 2020 Sở GD&ĐT Quảng Ninh để bạn đọc cùng tham khảo và có thêm tài liệu ôn tập cho kì thi học sinh giỏi sắp tới nhé. Mời các bạn cùng tham khảo chi tiết tại đây.
- Đề thi học sinh giỏi cấp tỉnh môn Toán lớp 12 năm học 2019 - 2020 Sở GD&ĐT Quảng Ngãi
- Đề thi học sinh giỏi cấp tỉnh môn Toán lớp 12 năm học 2019 - 2020 Sở GD&ĐT Lạng Sơn
Đề thi học sinh giỏi cấp tỉnh môn Toán lớp 12 năm học 2019 - 2020 Sở GD&ĐT Quảng Ninh vừa được VnDoc.com sưu tập và xin gửi tới bạn đọc cùng tham khảo. Đề thi gồm có 6 câu hỏi tự luận, thí sinh làm trong thời gian 180 phút. Mời các bạn cùng tham khảo chi tiết và tải về tại đây.
Trên đây VnDoc.com vừa giới thiệu tới các bạn Đề thi học sinh giỏi cấp tỉnh môn Toán lớp 12 năm học 2019 - 2020 Sở GD&ĐT Quảng Ninh, mong rằng qua bài viết này các bạn có thể học tập tốt hơn môn Toán lớp 12. Mời các bạn cùng tham khảo thêm kiến thức các môn Ngữ văn 12, Tiếng Anh 12, đề thi học kì 1 lớp 12, đề thi học kì 2 lớp 12...
