Đề thi học sinh giỏi lớp 4 môn Toán trường Tiểu học Cao Xá 1 năm học 2012 - 2013
Đề thi học sinh giỏi lớp 4 môn Toán
Đề thi học sinh giỏi lớp 4 môn Toán trường tiểu học Cao Xá 1 năm học 2012 - 2013 là đề thi học sinh giỏi cấp huyện có đáp án kèm theo được VnDoc sưu tầm và giới thiệu tới các bạn học sinh tài liệu bồi dưỡng học sinh giỏi lớp 4 hay dành cho thầy cô và các em học sinh tham khảo.
Đề thi chọn Học sinh giỏi Lớp 4 năm 2013 - Trường TH số 2 Sơn Thành Đông
Đề giao lưu học sinh giỏi môn Toán lớp 4 trường tiểu học Kim An, Hà Nội năm 2014 - 2015
Chuyên đề bồi dưỡng học sinh giỏi môn Toán lớp 4: Toán trung bình cộng
ĐỀ THI HỌC SINH GIỎI CẤP HUYỆN
TRƯỜNG TIỂU HỌC CAO XÁ I
Môn Toán – lớp 4
Năm học 2012 - 2013
Thời gian làm bài 75 phút
PHẦN 1: VIẾT KẾT QUẢ ĐÚNG CÁC BÀI TOÁN SAU:
Bài 1: Rút gọn phân số
đưa về phân số tối giản.
Bài 2: Dãy số tự nhiên liên tiếp từ 234 đến 786 có bao nhiêu số lẻ?
Bài 3: Ba năm trước đây tổng số tuổi của hai mẹ con là 42 tuổi. Tính tuổi của mỗi người hai năm nữa. Biết rằng hiện nay tuổi mẹ gấp 5 lần tuổi con.
Bài 4: Trong một tổng nếu giữ nguyên số hạng thứ nhất và tăng số hạng thứ hai lên 10 lần thì tổng sẽ thay đổi như thế nào?
Bài 5: Cho một phép chia có dư biết số bị chia là 623, thương là 12 và số lớn nhất trong phép chia đó. Hãy tìm số chia trong phép chia này?
PHẦN II TRÌNH BÀY LỜI GIẢI CỦA CÁC BÀI TOÁN SAU:
Bài 1: Tìm x
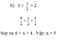
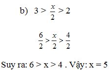
a) 2015 : x = 671 (dư 2)

Bài 2: Tính tổng sau bằng cách thuận tiện nhất:
a) (1 + 2 + 3 + 4 +5 + 6 + 7 + .....+ 98 + 99) × (2013 × 3 – 2013 × 2 - 2013)
b) 54 × 275 + 825 × 15 + 275
Bài 3: Quý và Hợi có một số viên bi. Nếu Quý thêm 2 viên bi thì số bi của Quý bằng số bi của Hợi. Nếu Quý thêm 38 viên bi thì số bi của Quý gấp 4 lần số bi của Hợi. Hỏi mỗi bạn có bao nhiêu viên bi?
Bài 4: Một hình chữ nhật có chu vi bằng 5 lần chiều rộng. biết chiều dài bằng 60m. tính chiều rộng hình chữ nhật đó?
ĐÁP ÁN
PHẦN I. (5 điểm) Mỗi câu ghi kết quả đúng cho 1 điểm
Câu 1: Phân số: ![]()
Câu 2: 276 số lẻ
Câu 3: Con 10 tuổi, mẹ 42 tuổi
Câu 4: Tổng tăng thêm 9 lần số hạng thứ hai.
Câu 5: Số chia là 48
PHẦN II: (5 điểm)
Câu 1: (1 điểm)
a) 2015: x = 671 (dư 2)
x = (2015 – 2) : 671
x = 3

Câu 2: (1 điểm)
a) (1 + 2 + 3 + 4 +........+ 98 + 99) × (2013 × 3 – 2013 × 2 – 2013)
= (1 + 2 + 3 + 4 +........+ 98 + 99) × 2013 × (3 – 2 – 1)
= (1 + 2 + 3 + 4 +........+ 98 + 99) × 2013 × 0
= 0
b) 54 × 275 + 825 × 15 + 275
= 54 × 275 + 275 × 3 x 15 + 275
= 54 × 275 + 275 × 45 + 275
= 275 × (54 + 45 + 1)
= 275 × 100
= 27500
Câu 3: (2 điểm)
Bài giải

Theo sơ đồ số bi của Hợi là: (38 – 2 ) : 3 = 12 (viên)
Số bi của Quí là: 12 – 2 = 10 (viên)
Đáp số: Quí: 10 viên bi
Hợi: 12 viên bi
Câu 4: (1 điểm)
Chu vi gồm 2 chiều dài và 2 chiều rộng
Theo đầu bài, chu vi gấp 5 lần chiều rộng, nên ta có sơ đồ:

Nhìn vào sơ đồ ta thấy 2 chiều dài ứng với 3 chiều rộng.
Vậy chiều rộng của hình chữ nhật đó là:
(60 × 2) : 3 = 40 (m)
Đáp số: 40 m
(Học sinh làm đúng bằng cách khác vẫn cho điểm tối đa)