Đề thi học sinh giỏi lớp 9 THCS huyện Nghi Xuân, Hà Tĩnh năm 2013 - 2014
Đề thi học sinh giỏi lớp 9
Đề thi học sinh giỏi môn Toán, Vật lý, Hóa học lớp 9 năm học 2013 - 2014 huyện Nghi Xuân, Hà Tĩnh là đề thi học sinh giỏi cấp huyện dành cho học sinh lớp 9 luyện đề nhằm ôn tập và củng cố kiến thức đã học. Đề thi có đáp án đi kèm, hi vọng giúp các bạn ôn thi học sinh giỏi hiệu quả, đạt thành tích cao trong học tập. Mời các bạn tham khảo.
Đề thi học sinh giỏi lớp 9 THCS tỉnh An Giang năm 2012 - 2013
Đề thi giải toán trên máy tính cầm tay lớp 9 THCS tỉnh Hà Tĩnh năm 2013-2014
Đề thi học sinh giỏi môn Lịch sử lớp 9 năm học 2013 - 2014 huyện Lâm Thao, Phú Thọ
| UBND HUYỆN NGHI XUÂN PHÒNG GIÁO DỤC- ĐÀO TẠO |
KỲ THI CHỌN ĐỘI TUYỂN HỌC SINH GIỎI LỚP 9 NĂM HỌC 2013 -2014 |
ĐỀ THI MÔN: TOÁN
Thời gian: 150 phút
Câu 1:
a. Tính giá trị của biểu thức: ![]()
b. Tìm x; y thỏa mãn: ![]()
Câu 2:
a. Giải phương trình nghiệm nguyên: 5x4 + y2 - 4x2y - 85 = 0
b. Cho x; y; z là các số nguyên và 
Chứng minh rằng P chia hết cho 30 khi và chỉ khi S chia hết cho 30.
Câu 3:
Cho ba số x, y, z khác 0 và thoả mãn:
Tính giá trị của biểu thức: P = (y2009 + z2009)(z2011 + x2011)(x2013 + y2013)
Câu 4:
a. Cho tam giác nhọn ABC có trực tâm H, trọng tâm I; Giao điểm 3 đường trung trực là O, trung điểm của BC là M. Tính giá trị biểu thức: ![]()
b. Cho góc xOy. Một đường thẳng d thay đổi luôn cắt các tia Ox; Oy tại M và N. Biết giá trị biểu thức
không thay đổi khi đường thẳng d thay đổi. Chứng minh rằng đường thẳng d luôn đi qua một điểm cố định.
Câu 5:
a. Cho các số x; y; z không âm, không đồng thời bằng 0 và thỏa mãn: ![]()
Tìm giá trị nhỏ nhất của biểu thức: ![]()
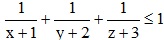
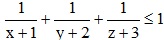
b. Cho các số dương x, y, z thoả mãn điều kiện: xy + yz + zx = 671.
Chứng minh rằng: ![]()
ĐỀ THI MÔN: VẬT LÝ
Câu 1:
Hai xe máy A và B chuyển động đều trên cùng một đường thẳng. Nếu chúng đi lại gần nhau thì cứ sau 2 phút khoảng cách giữa chúng giảm đi 3 km. Nếu xe A đuổi theo xe B thì cứ sau 10 giây khoảng cách giữa chúng lại giảm đi 50m. Tính vận tốc của mỗi xe.
Câu 2: Hai gương phẳng G1, G2 quay mặt phản xạ vào nhau và tạo với nhau một góc 600. Một điểm S nằm trong khoảng hai gương.
a. Hãy vẽ hình và nêu cách vẽ đường đi của tia sáng phát ra từ S phản xạ lần lượt qua G1, G2 rồi quay trở lại S.
b. Tính góc tạo bởi tia tới xuất phát từ S và tia phản xạ đi qua S.
Câu 3: Một khí cầu có thể tích 12m3 chứa khí hiđrô. Biết rằng trọng lượng của vỏ khí cầu là 100N, trọng lượng riêng của không khí là 12,9N/m3, của khí hiđrô 0,9N/m3.
a. Khí cầu có thể kéo lên trên không một vật nặng bằng bao nhiêu?
b. Muốn kéo một người nặng 62kg lên thì khí cầu phải có thể tích tối thiểu là bao nhiêu, nếu coi trọng lượng của vỏ khí cầu vẫn không đổi.
Câu 4: Một bình nóng lạnh có ghi 220V - 1100W được sử dụng với hiệu điện thế 220V.
a. Tính cường độ dòng điện chạy qua bình khi đó
b. Tính thời gian để bình đun sôi 11 lít nước từ nhiệt độ 200C, biết nhiệt dung riêng của nước là 4200J/kg.K; bỏ qua nhiệt lượng hao phí.
c. Tính tiền điện phải trả cho việc sử dụng bình như trên trong 30 ngày, biết rằng thời gian sử dụng trung bình mỗi ngày là 40 phút và giá tiền điện là 1500đ/kW.h.
Câu 5: Cho mạch điện như hình 2. Hiệu điện thế giữa hai điểm A và B là 18V luôn không đổi. Biết R1 = 5Ω, R2 = R4 = R5 = 4Ω, R3 = 3Ω. Điện trở của ampe kế và dây nối không đáng kể.
a. Khi khoá K mở. Tính điện trở tương đương của mạch và Số chỉ của ampe kế.
b. Thay điện trở R2 và R4 lần lượt bằng điện trở Rx và Ry, khi khoá K đóng và mở ampe kế đều chỉ 1A. Tính giá trị của điện trở Rx và Ry trong trường hợp này.
