Đề thi học sinh giỏi môn Toán lớp 10 trường THPT Lý Thái Tổ, Bắc Ninh năm học 2015 - 2016
Đề thi học sinh giỏi môn Toán lớp 10
Đề thi học sinh giỏi môn Toán lớp 10 trường THPT Lý Thái Tổ, Bắc Ninh năm học 2015 - 2016 là đề thi học sinh giỏi mới nhất có kèm đáp án chi tiết được VnDoc.com sưu tầm và đăng tải. Đây là tài liệu hay dành cho các em học sinh ôn thi học sinh giỏi lớp 10 THPT. Mời các em cùng tham khảo.
Đề thi học sinh giỏi thành phố Đà Nẵng môn Toán lớp 10 năm học 2010 - 2011 (Có đáp án)
Đề thi học sinh giỏi môn Toán lớp 10 trường THPT Con Cuông, Nghệ An năm học 2015 - 2016
|
SỞ GIÁO DỤC VÀ ĐÀO TẠO TRƯỜNG THPT LÝ THÁI TỔ |
ĐỀ THI CHỌN HỌC SINH GIỎI CẤP TRƯỜNG NĂM HỌC 2015 – 2016 Môn thi: Toán – Lớp 10 – THPT Thời gian làm bài: 120 phút (không kể thời gian giao đề) Ngày thi: 12 tháng 5 năm 2016 |
Câu 1. (2,5 điểm) Cho hàm số y = x2 - 2x + 2 có đồ thị (P) và đường thẳng (d) có phương trình y = x + m. Tìm m để đường thẳng d cắt (P) tại hai điểm phân biệt A, B sao cho OA2 + OB2 = 82.
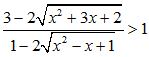
Câu 2. (3,0 điểm)
- Giải bất phương trình
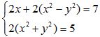
. - Giải phương trình
. - Giải hệ phương trình
.
Câu 3. (2,0 điểm)
- Trong mặt phẳng với hệ tọa độ Oxy, cho hình thang vuông ABCD
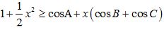
có đỉnh D(2; 2) và CD = 2AB. Gọi H là hình chiếu vuông góc của điểm D lên đường chéo AC. Điểm M(22/5; 14/5) là trung điểm của HC. Xác định toạ độ đỉnh B, biết rằng đỉnh B nằm trên đường thẳng Δ: x - 2y + 4 = 0. - Cho tam giác ABC là một tam giác bất kì. Chứng minh rằng với mọi số x ta đều có:
![]()
Câu 4. (1,5 điểm) Chứng minh rằng:
.
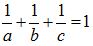
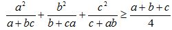
Câu 5. (1,0 điểm)
Cho ba số thực dương a, b, c thỏa mãn
. Chứng minh rằng:
![]()
Đáp án đề thi học sinh giỏi môn Toán lớp 10



.
.