Đề thi học sinh giỏi môn Toán lớp 12 trường THPT Nguyễn Duy Thì, Vĩnh Phúc năm học 2016 - 2017 (Lần 1)
Đề thi học sinh giỏi môn Toán lớp 12
Đề thi học sinh giỏi môn Toán lớp 12 trường THPT Nguyễn Duy Thì, Vĩnh Phúc năm học 2016 - 2017 (Lần 1) là tài liệu ôn thi học sinh giỏi dành cho các em học sinh ôn thi hiệu quả, chuẩn bị sẵn sàng cho kỳ thi sắp tới. Sau đây mời các em cùng luyện tập.
Đề thi học sinh giỏi môn Toán lớp 12 trường THPT Nguyễn Huệ, Phú Yên năm học 2016 - 2017
Đề thi chọn học sinh giỏi cấp tỉnh môn Toán lớp 12 Chuyên Sở GD - ĐT Bắc Ninh năm 2015 - 2016
Trường THPT Nguyễn Duy Thì
KỲ THI CHỌN HỌC SINH GIỎI LỚP 12 CẤP TRƯỜNG NĂM HỌC 2016-2017
ĐỀ THI MÔN TOÁN
Thời gian làm bài: 180 phút (không kể thời gian giao đề)
Câu 1 (3 điểm): Cho hàm số: ![]()
- Khảo sát sự biến thiên và vẽ đồ thị (C) của hàm số (1).
- Viết phương trình tiếp tuyến của (C), biết tiếp tuyến đó cắt đường tiệm cận đứng và tiệm cận ngang lần lượt tại A, B sao cho AB = √2IB, với I(2; 2).
Câu 2 (2 điểm):
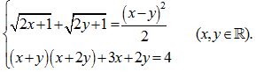
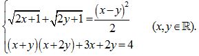
- Giải hệ phương trình:

- Giải phương trình:

Câu 3 (1 điểm):
Trong mặt phẳng với hệ trục tọa độ Oxy, cho hình chữ nhật ABCD có điểm C thuộc vào đường thẳng có phương trình: x - y + 4 = 0. Đường thẳng đi qua D và trung điểm của đoạn AB có phương trình: 3x - 4y - 23 = 0. Tìm tọa độ của B và C, biết điểm B có hoành độ dương.
Câu 4 (2 điểm): Cho hình chóp S.ABCD có đáy ABCD là hình chữ nhật, tam giác SAB đều cạnh a và nằm trong mặt phẳng vuông góc với đáy. Góc giữa mặt phẳng (SCD) và mặt phẳng đáy bằng 600.
- Tính thể tích khối chóp S.ABCD theo a.
- Tính khoảng cách giữa hai đường thẳng SA và DB theo a.
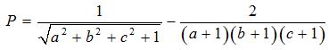
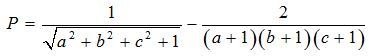
Câu 5 (1 điểm): Cho a, b, c là ba số dương. Tìm giá trị lớn nhất của biểu thức:

Đáp án đề thi học sinh giỏi môn Toán lớp 12





