Đề thi học sinh giỏi môn Toán lớp 9 phòng GD&ĐT Cam Lộ, Quảng Trị năm 2016 - 2017
Đề thi học sinh giỏi môn Toán lớp 9
Đề thi học sinh giỏi môn Toán lớp 9 phòng GD&ĐT Cam Lộ, Quảng Trị năm 2016 - 2017 là đề tham khảo được VnDoc sưu tầm và giới thiệu dành cho các bạn học sinh và thầy cô nghiên cứu, học tập tốt môn Toán lớp 9 cũng như luyện tập và làm quen với nhiều đề học sinh giỏi hơn nhằm chuẩn bị tốt nhất cho các kì thi sắp diễn ra. Mời các bạn tham khảo.
Đề thi học sinh giỏi môn Lịch sử lớp 9 huyện Hoằng Hóa năm 2015 - 2016
Đề thi học sinh giỏi môn Địa lý lớp 9 năm học 2015 - 2016 huyện Hoằng Hóa, Thanh Hóa
Đề thi học sinh giỏi môn Toán lớp 9 trường THCS Nghĩa Thắng, Quảng Ngãi năm 2016 - 2017
| PHÒNG GD&ĐT CAM LỘ |
ĐỀ THI HỌC SINH GIỎI LỚP 9 THCS
|
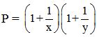
Bài 1: (4 điểm)
Cho biểu thức: 
a) Rút gọn P.
b) Chứng minh: P≥ 0.
Bài 2: (2 điểm)
Chứng minh rằng n3 - n chia hết cho 6 với mọi n ∈ Z.
Bài 3: (4 điểm)
Cho hai số dương x, y thoả mãn x + y = 1
a) Tính giá trị của biểu thức M = x(x + 2000) + y(y + 2000) + 2xy + 15
b) Tìm giá trị nhỏ nhất của biểu thức 
Bài 4: (3 điểm)
Giải phương trình: (x + 1)(x + 2)(x + 3)(x + 4) - 24 = 0
Bài 5: (2 điểm)
Tìm tất cả các số có 5 chữ số ![]()
Bài 6: (5 điểm)
Cho hình vuông ABCD, O là giao điểm hai đường chéo. M là trung điểm của cạnh AB. Trên các cạnh BC, CD lần lượt lấy hai điểm G và H sao cho hai đường thẳng MG và AH song song với nhau.
a) Chứng minh: DH.GB = BM.DA
b) Tính số đo góc ∠ HOG.
Đáp án đề thi học sinh giỏi môn Toán lớp 9


