Đề thi học sinh giỏi môn Vật lý lớp 12 tỉnh Quảng Bình năm học 2015 - 2016
Đề thi học sinh giỏi cấp tỉnh môn Vật lý lớp 12
Đề thi học sinh giỏi môn Vật lý lớp 12 tỉnh Quảng Bình năm học 2015 - 2016. Đề thi gồm 7 câu hỏi tự luận với thời gian làm bài là 180 phút. Phần đáp án đã được VnDoc.com cập nhật đầy đủ. Mời các bạn tham khảo.
Đề thi học sinh giỏi môn Vật lý lớp 12 trường THPT Lý Thái Tổ, Bắc Ninh năm học 2016 - 2017
Đề thi học sinh giỏi lớp 12 THPT tỉnh Hải Dương năm 2013 - 2014
| SỞ GD&ĐT QUẢNG BÌNH ĐỀ THI CHÍNH THỨC Họ và tên:....................... |
KỲ THI CHỌN HSG TỈNH NĂM HỌC 2015 - 2016 Khóa ngày 23/03/2016 Môn: VẬT LÍ LỚP 12 THPT Thời gian làm bài: 180 phút (không kể thời gian giao đề) Đề gồm có 02 trang |
Cho điện tích, khối lượng của electron là e = -1,6.10-19 C, m = 9,1.10-31 kg, vận tốc ánh sáng trong chân không c = 3.108 m/s, hằng số Plăng h = 6,625.10-34 J.s
Câu 1 (2,0 điểm)
Một con lắc lò xo gồm vật nặng có khối lượng M = 300 g, lò xo nhẹ có độ cứng k = 200 N/m. Khi M đang ở vị trí cân bằng thì thả nhẹ vật m = 200 g rơi từ độ cao h = 3,75 cm so với M như hình 1. Coi va chạm giữa m và M là hoàn toàn mềm. Sau va chạm, hệ M và m bắt đầu dao động điều hòa. Lấy g = 10 m/s2. Bỏ qua mọi ma sát và lực cản môi trường.

a, Viết phương trình dao động của hệ (M + m). Chọn gốc thời gian là lúc va chạm, trục tọa độ Ox thẳng đứng hướng lên, gốc O tại vị trí cân bằng của hệ sau va chạm.
b, Tính biên độ dao động cực đại của hệ vật để trong quá trình dao động vật m không rời khỏi M.
Câu 2 (2,0 điểm)
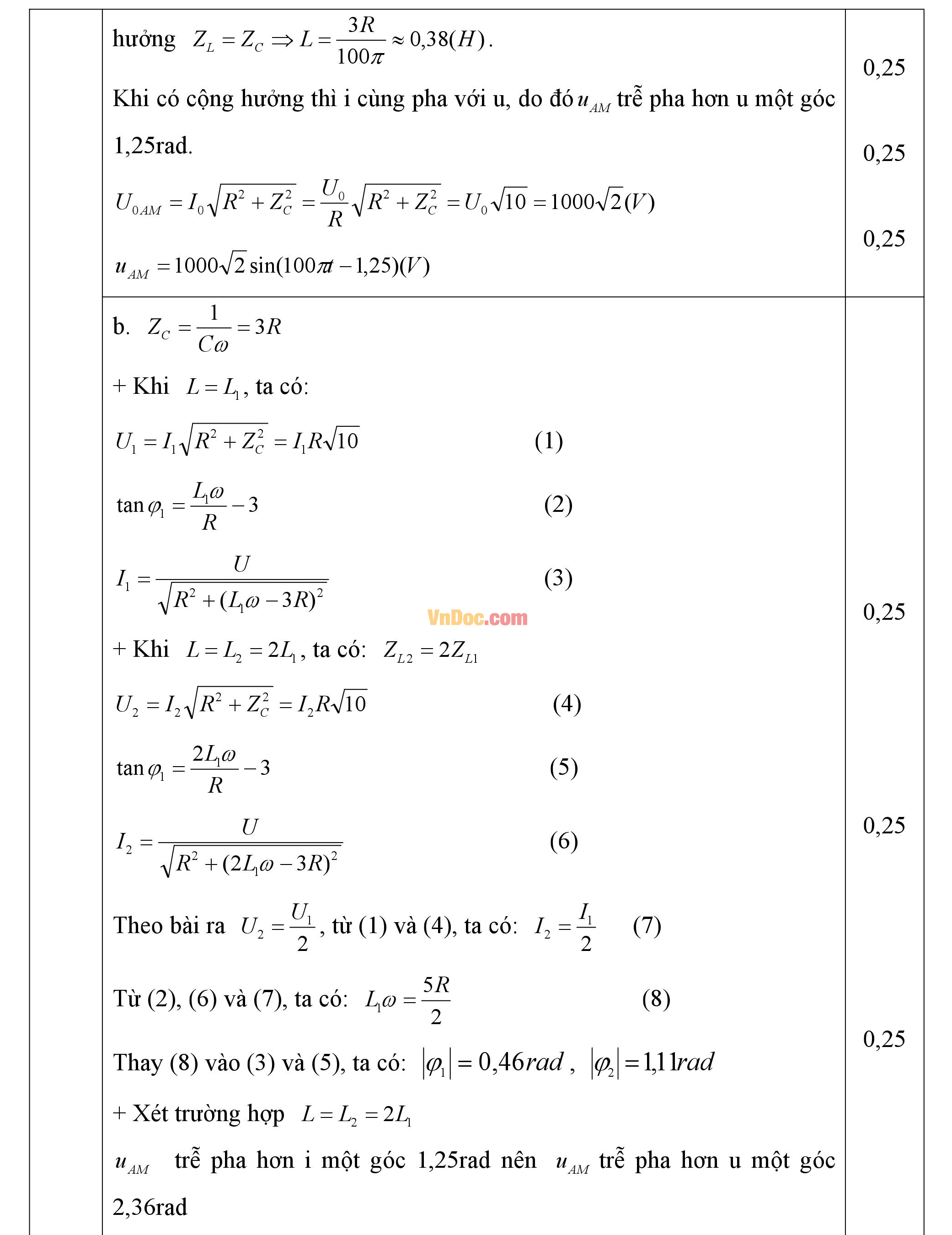
Cho mạch điện có sơ đồ như hình 2. Cuộn dây thuần cảm có độ tự cảm L thay đổi được. Tụ điện C có dung kháng lớn gấp 3 lần điện trở R. Vôn kế có điện trở rất lớn. Đặt vào hai đầu A, B của đoạn mạch hiệu điện thế: ![]()

a, Biết R = 40 Ω. Tính L để số chỉ của vôn kế là cực đại. Viết biểu thức của uAM khi đó.
b, Khi độ tự cảm của cuộn dây có giá trị L = L1 thì vôn kế chỉ U1 và dòng điện trong mạch sớm pha góc φ1 so với u. Còn khi độ tự cảm của cuộn dây có giá trị L = L2 = 2L1 thì vôn kế chỉ U2 = U1/2 và dòng điện trong mạch trễ pha góc φ2 so với u. Hãy tính φ1, φ2 và viết biểu thức uAM ứng với trường hợp L = L2.
Câu 3 (1,0 điểm)
Chiếu một bức xạ điện từ có bước sóng λ = 0,546 µm lên mặt kim loại dùng làm catôt của một tế bào quang điện, thu được dòng quang điện bão hòa với cường độ 2 mA. Biết công suất của bức xạ điện từ là P = 1,515 W.
a, Tính hiệu suất lượng tử của hiệu ứng quang điện.
b, Dùng màn chắn tách ra một chùm hẹp các quang electron cực đại ngay lúc bắn ra từ catôt và hướng chúng vào một từ trường đều có cảm ứng từ
vuông góc với véc tơ vận tốc của nó và có độ lớn B = 10-4 T thì quỹ đạo các electron đó là đường tròn có bán kính R = 2,332 cm. Tính giới hạn quang điện của kim loại làm catôt.
Câu 4 (1,0 điểm)
Thí nghiệm giao thoa I - Âng với ánh sáng đơn sắc có bước sóng 0,75 µm, khoảng cách giữa hai khe S1, S2 là 1 mm. Màn quan sát E khá nhỏ được gắn với một lò xo và có thể dao động điều hòa theo phương ngang với chu kì T = 4,5 s như hình 4. Ban đầu màn đang ở vị trí lò xo không bị biến dạng, khi đó nó cách mặt phẳng chứa hai khe một đoạn 2 m. Sau đó kéo màn ra khỏi vị trí ban đầu một khoảng 20 cm theo phương vuông góc và hướng ra xa mặt phẳng chứa 2 khe, rồi thả nhẹ cho nó dao động điều hòa. Tìm khoảng thời gian kể từ khi thả màn đến khi điểm M trên màn cách vân trung một đoạn 9,45 mm thuộc vân sáng bậc 6 lần thứ 2016.

Câu 5 (2,0 điểm)
Hai nguồn sóng cơ kết hợp S1, S2 ở trên mặt nước cách nhau 20 cm dao động cùng pha, cùng biên độ, theo phương vuông góc với mặt nước. Vận tốc truyền sóng là v = 1,5 m/s. M là điểm trên mặt nước có sóng truyền đến cách S1, S2 lần lượt 16 cm, 25 cm là điểm dao động với biên độ cực đại và trên đoạn MS2 có số điểm dao động cực đại nhiều hơn trên đoạn MS1 là 6 điểm.
a, Tính tần số của sóng
b, Xét điểm S'2 trên đường thẳng S1S2 cách S1, S2 lần lượt là 30 cm, 10 cm. Hỏi trong đoạn có bao nhiêu điểm đặt nguồn S2 để điểm M dao động với biên độ cực đại.
Câu 6 (1,0 điểm)
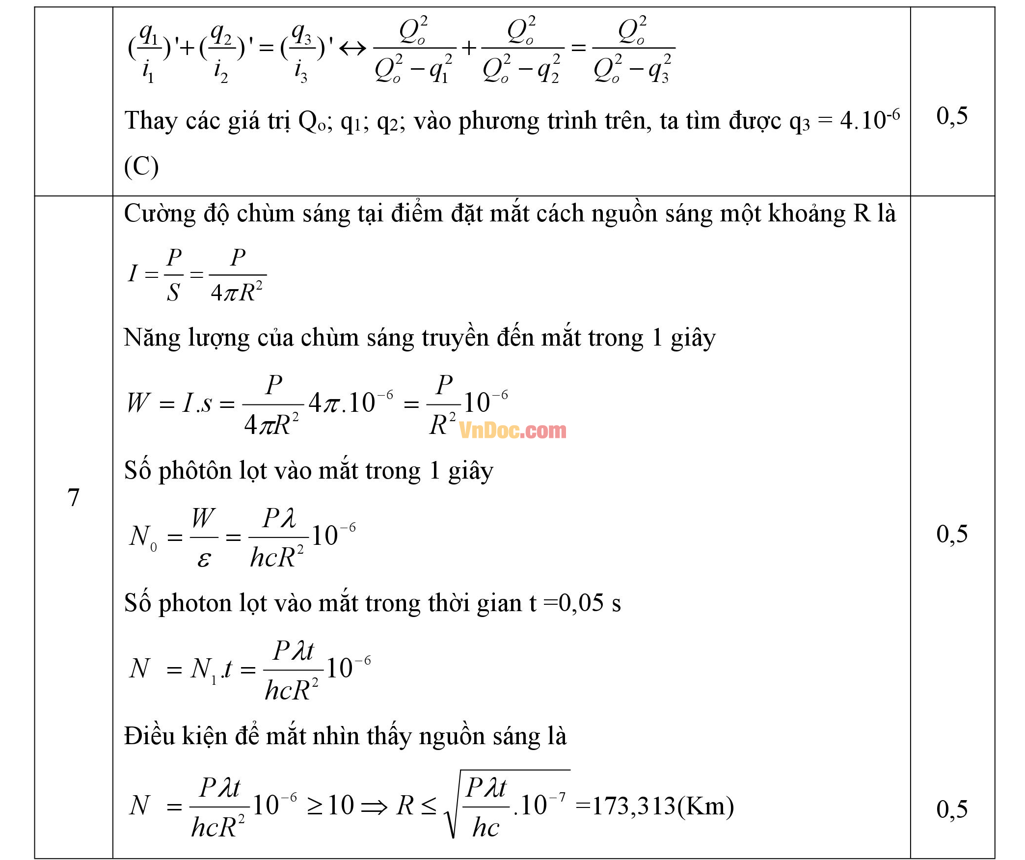
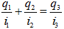
Cho 3 mạch dao động LC lí tưởng có cùng điện tích cực đại Q0 = 5.10-6 C, và có tần số dao động lần lượt là f1, f2 và f3. Biết rằng tại mọi thời điểm, điện tích và dòng điện của các mạch dao động liên hệ với nhau bằng biểu thức
. Tại thời điểm t, điện tích trên các tụ của các mạch dao động lần lượt là q1 = 3.10-6 C, q2 = 2.10-6 C và q3. Tính điện tích q3 khi đó.
Câu 7 (1,0 điểm)
Một nguồn sáng có công suất 2 W, phát ra ánh sáng đơn sắc có bước sóng 0,597 µm tỏa đều theo mọi hướng. Hãy tính khoảng cách xa nhất mà người còn nhìn thấy được nguồn sáng này. Biết rằng, mắt còn cảm nhận được ánh sáng khi có ít nhất 10 phôtôn lọt vào mắt trong 0,05 s. Biết diện tích con ngươi của mắt là 4π mm2. Bỏ quả sự hấp thụ ánh sáng của khí quyển.
ĐÁP ÁN ĐỀ THI HSG MÔN VẬT LÝ LỚP 12





* Ghi chú:
1. Phần nào thí sinh làm bài theo cách khác đúng vẫn cho điểm tối đa phần đó.
2. Không viết công thức mà viết trực tiếp bằng số các đại lượng, nếu đúng vẫn cho điểm tối đa.
3. Ghi công thức đúng mà:
- Thay số đúng nhưng tính toán sai thì cho nửa số điểm của câu.
- Thay số từ kết quả sai của ý trước dẫn đến sai thì cho nửa số điểm của ý đó.
4. Nếu sai hoặc thiếu đơn vị 3 lần trở lên thì trừ 1,0 điểm.
5. Điểm toàn bài làm tròn đến 0,25 điểm.