Đề thi khảo sát chất lượng đầu năm môn Toán lớp 11 trường THPT Hàn Thuyên, Bắc Ninh năm học 2016 - 2017
Đề kiểm tra đầu năm môn Toán lớp 11 có đáp án
Lớp:
Lớp 11
Môn:
Toán
Dạng tài liệu:
Đề thi
Loại File:
PDF
Phân loại:
Tài liệu Tính phí
Đề thi khảo sát chất lượng đầu năm môn Toán lớp 11
Nhằm đánh giá chất lượng học sinh để có phương hướng dạy học thích hợp, trường THPT Hàn Thuyên đã tổ chức kiểm tra chất lượng đầu năm. Mời các bạn cùng tham khảo Đề thi khảo sát chất lượng đầu năm môn Toán lớp 11 trường THPT Hàn Thuyên, Bắc Ninh năm học 2016 - 2017, có đáp án đi kèm.

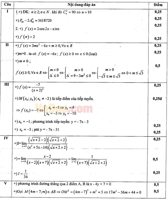
Đáp án đề thi khảo sát chất lượng đầu năm môn Toán lớp 11
